PROYECTO DE NORMA OFICIAL MEXICANA PROY-NOM-034-ENER-2025, EFICACIA LUMINOSA DE LÁMPARAS TUBULARES DE DIODOS EMISORES DE LUZ (LED) PARA ILUMINACIÓN GENERAL. LÍMITES, MÉTODOS DE PRUEBA Y MARCADO.
ISRAEL JÁUREGUI NARES, Presidente del Comité Consultivo Nacional de Normalización para la Preservación y Uso Racional de los Recursos Energéticos (CCNNPURRE) y Director General de la Comisión Nacional para el Uso Eficiente de la Energía (CONUEE), con fundamento en los artículos 17, 33, fracción X de la Ley Orgánica de la Administración Pública Federal; 4 de la Ley Federal de Procedimiento Administrativo; 10 y 11, fracciones I y VI de la Ley de Planeación y Transición Energética; 3, fracciones VII y IX, 10, fracción IX, 24, 25, 30, 35, fracción V, 38 Octavo Transitorio de la Ley de Infraestructura de la Calidad; 2 apartado F, fracción II, 71, 72 y 76 del Reglamento Interior de la Secretaría de Energía; el artículo Único del Acuerdo por el que se delegan en el Director General de la Comisión Nacional para el Uso Eficiente de la Energía, las facultades que se indican; y apartado X, inciso A, numerales 11 y 15, e inciso D numerales 1, 2 y 3 del Manual de Organización General de la Comisión Nacional para el Uso Eficiente de la Energía; y
CONSIDERANDO
Que la Ley Orgánica de la Administración Pública Federal, define las facultades de la Secretaría de Energía, entre las que se encuentra la de expedir normas oficiales mexicanas que promueven la eficiencia del sector energético.
Que la Comisión Nacional para el Uso Eficiente de la Energía es un órgano administrativo desconcentrado de la Secretaría de Energía, que cuenta con autonomía técnica y operativa, y que tiene por objeto promover la Eficiencia Energética y constituirse como órgano de carácter técnico en materia de aprovechamiento sustentable de la energía.
Que la Ley de Planeación y Transición Energética, considera a la eficiencia energética como todas las acciones que conlleven a una reducción, económicamente viable, de la cantidad de energía que se requiere para satisfacer las necesidades energéticas de los servicios y bienes que demanda la sociedad, asegurando un nivel de servicio igual o superior; y que se deberá considerar el mayor impulso a la eficiencia energética y a la generación con energías limpias que pueda ser soportado de manera sustentable bajo las condiciones económicas y del mercado eléctrico en el país.
Que es necesario establecer las especificaciones y métodos de prueba que propician el uso eficiente de la energía y los requisitos de intercambiabilidad de las lámparas tubulares de LED.
Que habiendo cumplido el procedimiento que establece la Ley de Infraestructura de la Calidad, el presente Proyecto de Norma Oficial Mexicana PROY-NOM-034-ENER-2025, Eficacia luminosa de lámparas tubulares de diodos emisores de luz (LED) para iluminación general. Límites, métodos de prueba y marcado, se sometió a consideración, y fue aprobado por el Comité Consultivo Nacional de Normalización para la Preservación y Uso Racional de los Recursos Energéticos (CCNNPURRE), en su Segunda Sesión Ordinaria del 2025 celebrada el 24 de septiembre de 2025.
Que el presente Proyecto se publica a efecto de que los interesados, dentro de los 60 días naturales siguientes de la fecha de su publicación en el Diario Oficial de la Federación y Plataforma Tecnológica Integral de Infraestructura de la Calidad, presenten sus comentarios en idioma español ante el CCNNPURRE, ubicado en: Av. Revolución No. 1877, Colonia Loreto, Alcaldía Álvaro Obregón, Ciudad de México, C.P. 01090, correo electrónico: norma.morales@conuee.gob.mx y alberto.lopez@conuee.gob.mx
Por lo expuesto y fundamentado, se expide para consulta pública el siguiente:
PROYECTO DE NORMA OFICIAL MEXICANA PROY-NOM-034-ENER-2025, EFICACIA LUMINOSA DE LÁMPARAS TUBULARES DE DIODOS EMISORES DE LUZ (LED) PARA ILUMINACIÓN GENERAL. LÍMITES, MÉTODOS DE PRUEBA Y MARCADO
Prefacio
Este Proyecto de Norma Oficial Mexicana fue elaborado en el Comité Consultivo Nacional de Normalización para la Preservación y Uso Racional de los Recursos Energéticos (CCNNPURRE), con la colaboración de los siguientes organismos, instituciones y empresas:
• ANCE ESTÁNDARES, S.C.
• Asociación de Normalización y Certificación, S.A. de C.V.
• Cámara Nacional de Manufacturas Eléctricas (CANAME)
• CURRENT COMMERCIAL MATERIALS S. de R.L. de C.V.
• Fideicomiso para el Ahorro de Energía Eléctrica
• Holophane S.A. de C.V.
• Instituto Nacional de Electricidad y Energías Limpias (INEEL)
• Industrias Sola Basic S.A. de C.V.
• LEDVANCE S.A. de C.V.
• Logis Consultores, S.A. de C.V.
• National Electrical Manufacturers Association (NEMA)
• Normalización y Certificación NYCE, S.C. (NYCE)
• Secretaría de Energía (SENER)
• Signify México S.A. de C.V.
• Tecnología y Servicio S.A. de C.V. - TYSSA
• UL de México, S.A. de C.V.
Índice de contenido
1. Objetivo y campo de aplicación
2. Referencias
3. Definiciones
4. Clasificación
5. Especificaciones
6. Métodos de prueba
7. Muestreo
8. Criterios de aceptación
9. Marcado
10. Vigilancia
11. Procedimiento de Evaluación de la Conformidad
12. Sanciones
13. Concordancia con normas internacionales
Apéndices
Apéndice A (Normativo) Mediciones eléctricas, fotométricas y radiométricas para lámparas tubulares de diodos emisores de luz (LED)
Apéndice B (Normativo) Medición del flujo luminoso total mínimo mantenido para las lámparas tubulares de LED
Apéndice C (Normativo) Medición de la distorsión armónica total
Apéndice D (Normativo) Método de proyección de flujo luminoso para las lámparas tubulares de LED
Apéndice E (Normativo) Tipos de bases para lámparas tubulares de LED
Apéndice F (Normativo) Tipos de lámparas tubulares de LED
Apéndice G (Informativo) Recomendaciones para la medición con esfera integradora
Apéndice H (Informativo) Diferencia cromática Du'v'
Apéndice I (Informativo) Diagramas de conexión para lámparas tubulares de LED
Apéndice J (Informativo) Tiempos de vigencia del certificado (inicial y final) y sus seguimientos
Figuras
Figura 1 - Atenuación no permitida
Figura A.1 - Circuitos de prueba para lámparas tubulares de LED
a) Circuito de prueba para lámparas tubulares de LED conectadas al controlador
b) Circuito de prueba para lámparas tubulares de LED conectadas a la tensión eléctrica de alimentación
Figura C.1 - Circuito de prueba para lámparas tubulares de LED
Figura F.1 - Lámpara tubular de LED (Tubo de LED) lineal
Figura F.2 - Lámpara tubular de LED (Tubo de LED) en U
Figura G.1 – Configuración de la esfera integradora 4π
Figura G.2 - Configuración de la esfera integradora 2π
Figura H.1 - Diagrama de cromaticidad que ilustra la diferencia entre Du'v ', DDuv y DTCC
Figura I.1.1 Diagrama de conexión de lámparas tubulares de LED insertadas dentro de un portalámpara cortocircuitado, energizadas por ambos lados
Figura I.1.2 Diagrama de conexión de lámparas tubulares de LED insertadas dentro de portalámpara no cortocircuitado, energizadas por ambos lados
Figura I.2.1 Diagrama de conexión de lámparas tubulares de LED insertadas dentro de un portalámpara cortocircuitado, energizadas por ambos lados
Figura I.2.2 Diagrama de conexión de lámparas tubulares de LED insertadas dentro de un portalámpara no cortocircuitado, energizadas por ambos lados
Figura I.2.3 Diagrama de conexión de lámparas tubulares de LED insertadas dentro de un portalámpara no cortocircuitado, energizadas por un solo lado
Figura I.3.1 Diagrama de conexión de lámparas tubulares de LED insertadas dentro de un portalámpara cortocircuitado, energizadas por ambos lados
Figura I.3.2 Diagrama de conexión de lámparas tubulares de LED insertadas dentro de un portalámpara no cortocircuitado, energizadas por ambos lados
Tablas
Tabla 1 - Temperatura de color correlacionada
Tabla 2 - Flujo luminoso total mínimo mantenido, para las lámparas tubulares de LED con una vida útil menor o igual que 50 000 h
Tabla 3 - Flujo luminoso total mínimo mantenido, para las lámparas tubulares de LED con una vida útil nominal mayor que 50 000 h
Tabla 4 - Muestras de modelos de lámparas tubulares de LED para certificación inicial y seguimiento
Tabla 5 – Muestras para certificación inicial
Tabla 6 - Muestreo a realizar en seguimiento
Tabla A.1 - Tensiones monofásicas de prueba para lámparas tubulares de LED
Tabla B.1 - Tensiones eléctricas monofásicas de prueba para lámparas tubulares de LED
Tabla D.1 - Valores de flujo luminoso obtenidos durante la prueba
Tabla E.1 - Tipos de bases para lámparas tubulares LED (Tubos de LED)
Tabla F.1 - Lámparas tubulares de LED (Tubo de LED)
Tabla J.1 Guía para la emisión de certificados (inicial y final) y seguimientos para las lámparas tubulares de LED con vida útil nominal igual o menor que 50 000 h, mediante pruebas periódicas al producto
Tablas J.2 Guía para la emisión de certificados (inicial y final) y seguimientos para las lámparas tubulares de LED con vida útil nominal mayor que 50 000 h, mediante pruebas periódicas al producto
14. Bibliografía
1. Objetivo y campo de aplicación
Este Proyecto de Norma Oficial Mexicana establece las especificaciones y métodos de prueba que propician el uso eficiente de la energía y los requisitos de intercambiabilidad de las lámparas tubulares de LED.
Aplica a todas las lámparas tubulares de LED con bases G5, G13 y Fa8, que se destinan para iluminación general, con potencia de hasta 125 W, con una tensión asignada de hasta 277 V, las cuales se importen, fabriquen o comercialicen dentro del territorio de los Estados Unidos Mexicanos.
Este Proyecto de Norma Oficial Mexicana tutela el objetivo legítimo de interés público IX, con relación al uso y aprovechamiento de los recursos naturales de la Ley de Infraestructura de la Calidad.
Se excluyen del campo de aplicación las lámparas que se establecen en otra Norma Oficial Mexicana en materia de eficiencia energética, así como a:
• Lámparas tubulares de LED que incorporan en el cuerpo de la misma sistemas/accesorios de control tales como: fotoceldas, sensores de movimiento, o lámparas tubulares de LED atenuables.
• Lámparas tubulares de LED de colores o con cambio de colores o decorativas.
• Lámpara circular de tubo de LED.
• Luminarios de LED y a los módulos de LED.
• Lámparas de luz negra, anti-insectos, infrarrojas, uso en medios de transporte, señalización, minería, crecimiento de plantas, acuarios, anti-fragmentación, semaforización, con reflector integrado, entretenimiento, foto proyección, uso médico o terapéutico, ultravioleta y germicidas.
Nota: Las lámparas ultravioletas operan por fuera del rango del espectro visible por el ojo humano (menor o igual que 400 nm y mayor o igual que 700 nm) comúnmente utilizadas.
2. Referencias
Para la correcta aplicación de este Proyecto de Norma Oficial Mexicana, deben consultarse y aplicarse las siguientes normas vigentes o las que las sustituyan:
• NOM-008-SE-2021, Sistema general de unidades de medida, publicada en el Diario Oficial de la Federación el 29 de diciembre de 2023.
• NOM-024-SCFI-2013, Información comercial para empaques, instructivos y garantías de los productos electrónicos, eléctricos y electrodomésticos, publicada en el Diario Oficial de la Federación el 12 de agosto de 2013.
• NOM-030-ENER-2016, Eficacia luminosa de lámparas de diodos emisores de luz (Led) integradas para iluminación general. Límites y métodos de prueba, publicada en el Diario Oficial de la Federación el 17 de enero de 2017.
• NMX-J-812-ANCE-2021. Iluminación. Lámparas LED con doble base diseñadas para sustituir lámparas fluorescentes lineales. Especificaciones de seguridad, cuya declaratoria de vigencia fue publicada en el Diario Oficial de la Federación el 10 de septiembre de 2021.
• NMX-J-578/1-ANCE, CSA C22.2 NO. 1993-17, UL 1993 (Norma trinacional) Iluminación lámparas autobalastradas y adaptadores para lámparas. Requisitos de seguridad.
• NMX-J-295/2-ANCE-2010, Iluminación – Lámparas fluorescentes de doble base para alumbrado general – especificaciones y métodos de prueba, cuya declaratoria de vigencia fue publicada en el Diario Oficial de la Federación el 14 de febrero de 2011.
• NMX-J-619-ANCE-2014, Iluminación – Definiciones y terminología, cuya declaratoria de vigencia fue publicada en el Diario Oficial de la Federación el 16 de junio de 2015.
3. Definiciones
Para efectos de este Proyecto de Norma Oficial Mexicana se establecen los términos y definiciones siguientes:
Nota: Los términos que no se incluyen en este Proyecto de Norma Oficial Mexicana se definen en las normas de referencia, que se indican en el Capítulo 2 o tienen su acepción dentro del contexto en el que se utilizan.
3.1 Base de la lámpara
Parte de una lámpara que se acopla al portalámparas y hace contacto con los circuitos eléctricos del portalámparas
3.2 Eficacia luminosa
Relación del flujo luminoso total emitido por la fuente de luz, entre la potencia eléctrica consumida de la misma fuente luminosa. Se expresa en lumen por watt [lm/W].
3.3 Espécimen de prueba de tipo
Una o más lámparas tubulares de LED con una base similar, que se presenta por el fabricante o vendedor responsable para el propósito de la prueba tipo.
3.4 Factor de potencia de la lámpara (λ)
Cociente de la potencia de operación de la lámpara (W) dividida entre el producto de la tensión de operación de la lámpara (V eficaz) por la corriente de operación de la lámpara (I eficaz).
3.5 Flujo luminoso total mantenido
Relación del flujo luminoso total después de un determinado tiempo de uso de la fuente de luz, en condiciones de operación específicas, dividido por su flujo luminoso inicial, expresado como porcentaje.
3.6 Flujo luminoso total nominal
Es el emitido de una fuente de luz, en su posición ideal, que declara el fabricante.
3.7 Frecuencia asignada
Valor de frecuencia marcada en la lámpara tubular de LED.
3.8 Índice de rendimiento de color (IRC)
Medida cuantitativa sobre la capacidad de la fuente luminosa para reproducir fielmente los colores de diversos objetos, comparándolo con una fuente de luz ideal.
3.9 Lámpara tubular de LED
Unidad que no puede desmantelarse, sin causar daño permanente, incorpora una fuente de luz LED y cuenta con doble base para instalarse a un luminario, y se energiza con tensión de alimentación que permita la operación estable de la fuente de luz.
3.10 Lámpara tubular de LED de conversión
Unidad que puede utilizarse como reemplazo para lámparas fluorescentes con doble base, previa conversión del luminario y que, después de su instalación, mantengan el mismo nivel de seguridad que la lámpara que fue reemplazada. La lámpara tubular de LED para conversión puede ser Tipo B, Tipo C y Tipo híbridas.
3.10.1 Lámpara tubular de LED de conversión Tipo B
Lámpara tubular de LED que para su operación se conecta directamente a tensiones eléctricas de alimentación de línea normalizadas y puede estar energizadas en uno o ambos extremos.
3.10.2 Lámpara tubular de LED de conversión Tipo C
Lámpara tubular de LED que para su operación se conecta directamente a un controlador de fuente de luz LED.
3.10.3 Lámpara tubular de LED de conversión Tipo híbrida
Lámpara tubular de LED que tiene la capacidad de operar con alguno de los diferentes tipos de lámparas tubulares LED Tipo A o Tipo B o Tipo C. La designación debe ser una combinación de Tipo A, Tipo B y Tipo C (por ejemplo: Tipo A/B, Tipo A/C, Tipo B/C, Tipo A/B/C).
3.11 Lámpara tubular de LED de reemplazo Tipo A
Unidad que puede utilizarse como reemplazo directo en luminarios de las lámparas fluorescentes de doble base que no requieren de ninguna modificación al luminario y que, después de su instalación, mantengan el mismo nivel de seguridad que la lámpara que fue reemplazada. Para su operación se conecta directamente a un balastro (controlador) para lámpara fluorescente con doble base.
3.12 Potencia asignada
Valor de potencia marcado en la lámpara tubular de LED.
3.13 Luz blanca
Espectro electromagnético que se encuentra en las coordenadas de cromaticidad (x, y), están definidas en el rango por las ecuaciones 0.250 < x < 0.570 y-2.3172 x2 + 2.3653 x – 0.2400 < y < - 2.3172 x2 + 2.3653 x – 0.1400.
3.14 Potencia máxima de entrada
Valor de potencia que se mide en la condición de operación donde se emite el flujo luminoso máximo (sin atenuación) y durante la operación de la lámpara tubular de LED a su tensión asignada, expresada en watts [W].
3.15 Temperatura de color correlacionada (TCC)
Expresa la apariencia cromática de una fuente de luz por comparación con la apariencia cromática de la luz emitida por un cuerpo negro a una temperatura absoluta determinada, su unidad de medida es el kelvin [K].
3.16 Tensión asignada
Valor de tensión o intervalo de tensión marcado en la lámpara tubular de LED.
Nota: El valor y las condiciones se especifican en este Proyecto de Norma Oficial Mexicana, o se indican por el fabricante o vendedor responsable.
4. Clasificación
Para efectos de este Proyecto de Norma Oficial Mexicana, las lámparas tubulares de LED se clasifican, por su tipo de instalación, de la siguiente manera:
• Lámpara tubular de LED de reemplazo; y
• Lámpara tubular de LED de conversión.
5. Especificaciones
5.1 Eficacia luminosa mínima
Para efectos de este Proyecto de Norma Oficial Mexicana, todas las lámparas tubulares de LED establecidas en el campo de aplicación deben cumplir con una eficacia luminosa inicial mínima de 95 lm/W, la cual se determina de acuerdo con lo establecido en el Apéndice A y Apéndice B.
5.2 Temperatura de color correlacionada (TCC)
Todas las lámparas tubulares de LED deben cumplir con la TCC indicada en la Tabla 1, la cual se determina de acuerdo con lo establecido en los Apéndices A y B:
Tabla 1 - Temperatura de color correlacionada
TCC nominal [K] |
Intervalo de TCC objetivo [K] |
Duv objetivo |
Tolerancia de Duv objetivo |
2 200 |
2 238 + 102 |
0.0000 |
±0.0060 |
2 500 |
2 460 + 120 |
0.0000 |
±0.0060 |
2 700 |
2 725 + 145 |
0.0000 |
±0.0060 |
3 000 |
3 045 + 175 |
0.0001 |
±0.0060 |
3 500 |
3 465 + 245 |
0.0005 |
±0.0060 |
4 000 |
3 985 + 275 |
0.0010 |
±0.0060 |
4 500 |
4 503 + 243 |
0.0015 |
±0.0060 |
5 000 |
5 029 + 283 |
0.0020 |
±0.0060 |
5 700 |
5 667 + 355 |
0.0025 |
±0.0060 |
6 500 |
6 532 + 510 |
0.0031 |
±0.0060 |
Valores no incluidos y que se encuentran en el intervalo de 2 300 a 6 400 K |
|
Duv(TF) |
±0.0060 |
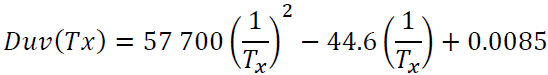
Para las TCC nominal declaradas, que no estén incluidas en la Tabla 1 y se encuentra en el intervalo de 2 300 K a 6 400 K, se debe calcular la TCC objetivo, así como los intervalos de tolerancia correspondientes, de acuerdo con las siguientes ecuaciones:
![]()
![]()
![]()
![]()
![]()
Donde:
valor de TCC nominal que se encuentra en el intervalo de 2 300 a 6 400 K.
TCC obtenido de la fuente de evaluación.
intervalo de tolerancia del valor seleccionado (TF)
distancia más cercana de la curva de Planck.
Nota: Sólo se permiten pasos de 100 K.
5.3 Flujo luminoso total mínimo mantenido
Para las lámparas tubulares de LED, el flujo luminoso total mínimo mantenido es el resultado de la relación del flujo luminoso total de acuerdo con las horas de prueba indicadas en las Tablas 2 y 3, dividido por su flujo luminoso inicial, expresado como porcentaje. El flujo luminoso total mínimo mantenido se determina de acuerdo con lo establecido en los Apéndices A y B.
5.3.1 Para lámparas tubulares de LED con vida útil menor o igual que 50 000 h, el flujo luminoso mínimo mantenido debe ser el indicado en la Tabla 2. de acuerdo con las horas de prueba indicadas en la misma.
Tabla 2 - Flujo luminoso total mínimo mantenido, para las lámparas tubulares de LED con una vida útil menor o igual que 50 000 h
Vida nominal (h) |
Flujo luminoso total mínimo mantenido (%) |
||
Medido a las 1 000 h |
Medido a las 3 000 h |
Medido a las 6 000 h |
|
Menor o igual que 20 000 |
97.65 |
93.10 |
86.70 |
Mayor que 20 000 y menor o igual que 25 000 |
98.24 |
94.80 |
89.90 |
Mayor que 25 000 y menor o igual que 30 000 |
98.58 |
95.80 |
91.80 |
Mayor que 30 000 y menor o igual 40 000 |
98.82 |
96.50 |
93.11 |
Mayor o igual que 40 000 y menor o igual 50 000 |
99.11 |
97.36 |
94.79 |
Nota: Se permite aplicar una tolerancia del 3% al valor de flujo luminoso en el periodo de valoración en caso de que el valor de flujo luminoso total mínimo mantenido no cumpla con los valores establecidos en la Tabla anterior. Esta tolerancia no será aplicable en los valores medidos a las 0 h y 1 000 h de prueba. |
|||
5.3.2 Para lámparas tubulares de LED con vida útil mayor que 50 000 h, el flujo luminoso mínimo mantenido debe ser el indicado en la Tabla 3, de acuerdo con las horas de prueba indicadas en la misma.
Tabla 3 - Flujo luminoso total mínimo mantenido, para las lámparas tubulares de LED con una vida útil nominal mayor que 50 000 h
Vida útil nominal (h) |
Flujo luminoso total mínimo mantenido (%) |
|
Medido a las 3 000 h |
Medido a las 6 000 h |
|
Mayor o igual que 50 000 |
97.88 |
95.81 |
Nota: Se permite aplicar una tolerancia del 3% al valor de flujo luminoso a las 6 000 h de prueba, en caso de que el valor de flujo luminoso total mínimo mantenido no cumpla con los valores establecidos en la Tabla anterior. Esta tolerancia no será aplicable en los valores medidos a las 0 h y 3 000 h de prueba. |
||
5.4 Índice de Rendimiento de Color (IRC)
Las lámparas tubulares de LED deben cumplir con el valor de IRC declarado en su marcado, el cual no debe ser menor en 3 puntos del valor de IRC declarado. El valor del IRC no debe ser menor que 80.
5.5 Factor de potencia
Todas las lámparas tubulares de LED de conversión Tipo B y Tipo híbrido que se conectan a tensión de línea deben tener un factor de potencia mínimo conforme lo siguiente:
5.5.1 En todas las lámparas tubulares de LED con potencias eléctricas menores o iguales que 25 W, el factor de potencia debe ser mayor o igual que 0.5, calculado de acuerdo con lo descrito en el inciso 6.7.
5.5.2 En todas las lámparas tubulares de LED con potencias eléctricas mayores que 25 W, el factor de potencia debe ser mayor o igual que 0.7, calculado de acuerdo con lo descrito en el inciso 6.7
5.6 Variación del flujo luminosos total nominal
El flujo luminoso total inicial medido de todas las lámparas tubulares de LED, incluidas en el campo de aplicación de este Proyecto de Norma Oficial Mexicana, no debe de ser menor al 90% del valor nominal marcado en el producto.
5.7 Distorsión armónica total
Para todas las lámparas tubulares de LED de conversión Tipo B y Tipo híbridas que se conectan a tensión de línea y que en el producto o en el empaque se marque la distorsión armónica total en la intensidad de corriente eléctrica, ésta debe ser igual o menor que lo marcado en el mismo, midiéndose de acuerdo con lo establecido en el Apéndice C.
5.8 Temperatura de la lámpara tubular de LED
La temperatura de las lámparas tubulares de LED no debe ser mayor que 75 °C que se miden en cualquier lugar de la lámpara. Este requisito aplica para las superficies de la lámpara que pueden tocarse con un dedo de prueba de acuerdo a lo establecido en el inciso 6.9.
5.9 Seguridad de la base de pines durante la instalación
Durante la instalación de las lámparas tubulares de LED, no debe existir continuidad entre las dos bases de la lámpara durante su instalación de acuerdo con lo establecido en el inciso 6.10.
5.10 Protección contra el contacto accidental de partes vivas
Todas las lámparas tubulares de LED deberán cumplir con las pruebas de protección contra el contacto accidental de partes vivas de acuerdo a lo establecido en el inciso 6.11.
5.11 Resistencia al calor
Todas las lámparas tubulares de LED deben estar diseñadas de manera que resistan al calor. Aquellas partes externas de material aislante que proporcionan protección contra una descarga eléctrica, y las partes de material aislante que mantienen las partes vivas en posición deben cumplir con los establecido en el inciso 6.12.
5.12 Resistencia a la flama e ignición
Aquellas partes de material aislante que retienen partes vivas en su posición y las partes externas de material de aislamiento que proporcionan protección contra descargas eléctricas de las lámparas tubulares de LED, se someten a la prueba de hilo incandescente de acuerdo con lo establecido en el inciso 6.13.
5.13 Condiciones de falla
Las lámparas tubulares de LED deben estar diseñadas de manera que soporten condiciones de falla que puedan ocurrir durante su uso, lo cual se corrobora con lo establecido en el inciso 6.14.
6. Métodos de prueba
6.1 Las lámparas tubulares de LED se deben operar a la potencia de entrada máxima de la lámpara. Cuando ocurren múltiples modos de temperatura de color se debe ajustar la temperatura de color máxima dentro del rango de TCC asignada.
6.2 Eficacia luminosa
Para determinar la eficacia luminosa de las lámparas tubulares de LED establecidas en el inciso 5.1 se debe aplicar la siguiente ecuación:
![]()
La potencia eléctrica consumida y el flujo luminoso total inicial, se deben determinar de acuerdo con el método de prueba establecido en el Apéndice A.
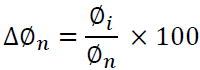
6.3 Variación del flujo luminoso total nominal
Para determinar la variación del flujo luminoso total nominal de las lámparas tubulares de LED establecido en el inciso 5.6, se debe aplicar la siguiente ecuación:
![]()
Donde:
relación del flujo luminoso total nominal
flujo luminoso total inicial de la lámpara de LED
flujo luminoso total nominal
Para el flujo luminoso total inicial se debe utilizar el método de prueba establecido en el Apéndice A.
6.4 Temperatura de color correlacionada (TCC)
La temperatura de color correlacionada de las lámparas tubulares de LED indicada en el inciso 5.2, se debe determinar con el método de prueba establecido en el Apéndice A.
6.5 Flujo luminoso total mínimo mantenido
Para determinar el mantenimiento del flujo luminoso total de las lámparas tubulares de LED establecido en el inciso 5.3, se debe aplicar la siguiente ecuación:
![]()
Donde:
mantenimiento del flujo luminoso total
flujo luminoso total inicial
flujo luminoso total final.
Para el flujo luminoso total inicial se debe utilizar el método de prueba establecido en el Apéndice A, para el flujo luminoso total final se debe de utilizar el método de prueba establecido en el Apéndice B.
6.6 Índice de Rendimiento de Color (IRC)
Para determinar el IRC de las lámparas tubulares de LED establecido el inciso 5.4, se debe determinar con el método de prueba establecido en el Apéndice A.
6.7 Factor de potencia
Para determinar el factor de potencia de las lámparas tubulares de LED de conversión Tipo B y Tipo híbridas que se conectan a tensión de línea se aplicará lo establecido en el inciso 5.5, y se debe aplicar la siguiente ecuación:
![]()
Donde:
λ factor de potencia;
P potencia eléctrica de entrada, expresada en watts;
V tensión eléctrica de entrada, expresada en volts; e
I intensidad de corriente eléctrica de entrada, expresada en amperes.
La potencia eléctrica, tensión eléctrica y la intensidad de corriente eléctrica se miden a la entrada del espécimen de prueba, de acuerdo con lo establecido en el Apéndice A.
6.8 Distorsión armónica total
Para determinar si las lámparas tubulares de LED de conversión Tipo B y Tipo híbridas que se conectan a tensión de línea que cumplen con la distorsión armónica total en la intensidad de corriente eléctrica indicada en el inciso 5.7, se debe utilizar el método de prueba establecido en Apéndice C.
6.9 Temperatura de la lámpara tubular de LED
Para determinar el cumplimiento del requisito de temperatura se debe utilizar el método de prueba establecido en el inciso 6.4 de la norma NMX-J-812-ANCE-2021.
6.10 Seguridad de la base de pines durante la instalación
Para determinar el cumplimiento del requisito de seguridad de la base de pines durante la instalación, se debe utilizar el método de prueba establecido en el Capítulo 7 de la norma NMX-J-812-ANCE-2021.
6.11 Protección contra el contacto accidental de partes vivas
Para determinar el cumplimiento del requisito de protección contra el contacto accidental de partes vivas se deben utilizar los métodos de prueba establecidos en el Capítulo 8 de la norma NMX-J-812-ANCE-2021.
6.12 Resistencia al calor
Para determinar el cumplimiento del requisito de resistencia al calor se debe utilizar el método de prueba establecido en el Capítulo 11 de la norma NMX-J-812-ANCE-2021.
6.13 Resistencia a la flama e ignición
Para determinar el cumplimiento del requisito de resistencia a la flama e ignición se debe utilizar el método de prueba establecido en el capítulo 12 de la norma NMX-J-812-ANCE-2021.
6.14 Condiciones de falla
Para determinar el cumplimiento del requisito de condiciones de falla se deben utilizar los métodos de prueba establecidos en el Capítulo 13 de la norma NMX-J-812-ANCE-2021.
7. Muestreo
Estará sujeto a lo dispuesto en el inciso 11.5.3 del presente Proyecto de Norma Oficial Mexicana.
8. Criterio de aceptación
Las lámparas tubulares de LED comprendidas dentro del campo de aplicación cumplen con el presente Proyecto de Norma Oficial Mexicana, sí y solo sí, el resultado de las pruebas de laboratorio descritas en el Capítulo 6, muestran cumplimiento en su totalidad con las especificaciones establecidas en el Capítulo 7, para cada una de las piezas que integran la muestra.
9. Marcado
9.1 En el cuerpo del producto
9.1.1 Las lámparas tubulares de LED incluidas en el campo de aplicación del presente Proyecto de Norma Oficial Mexicana deben marcar en el cuerpo del producto, de manera legible e indeleble, los datos que se listan a continuación, utilizando las unidades de medida de acuerdo con lo establecido en la NOM-008-SE-2021 (véase Capítulo 2. Referencias).
a) El nombre o marca registrada del fabricante o del comercializador;
b) Datos eléctricos de la tensión asignada o intervalo de tensiones, frecuencia y potencia asignadas;
c) La fecha o código que permita identificar el periodo de fabricación;
d) Modelo del producto;
e) Flujo luminoso;
f) Eficacia luminosa;
g) Factor de potencia;
h) Diagrama esquemático de conexión;
i) País de origen;
j) TCC;
k) Marcado de IRC;
l) Código QR; y
m) Vida útil de la lámpara tubular de LED.
Nota: Puede omitirse la frecuencia en las lámparas tubulares de LED que no se conectan a tensión de línea.
9.2 En el empaque o en las instrucciones
• Declaración del producto;
• Instrucciones graficas;
• Montaje;
• Marcado de precaución/advertencia para la conversión de luminarios; y
• Marcado para los luminarios (que se adhiere al luminario).
Lo anterior de conformidad con lo que se indica en el inciso 5.3 de la NMX-J-812-ANCE-2021.
9.2.1 Las lámparas tubulares de LED indicadas en el campo de aplicación del presente Proyecto de Norma Oficial Mexicana deben contener lo siguiente:
a) La representación gráfica o el nombre del producto, a menos que el producto sea visible o identificable a simple vista por el consumidor.
b) Nombre, denominación o razón social y domicilio del fabricante nacional o importador,
c) La leyenda que identifique al país de origen del mismo (ejemplo: “Hecho en.…”, “Manufacturado en.…”, u otros análogos)
d) Datos eléctricos nominales de la tensión asignada o intervalo de tensión, frecuencia asignada, potencia asignada, intensidad de corriente en mA, factor de potencia, eficacia luminosa en lm/W, IRC.
e) Tipo de base (Ver Apéndice E) y tipo de lámpara (ver Apéndice F).
f) Valor de flujo luminoso nominal, temperatura de color correlacionada o rango de temperatura de color correlacionada, y vida útil nominal en horas.
g) Contenido, esto, cuando el producto no esté a la vista del consumidor o cuando el arte del empaque del producto no refleje de manera gráfica el mismo.
h) Modelo del producto
i) Para lámparas tubulares de LED Tipo B, Tipo C o Tipo híbridas se debe indicar el diagrama de conexión.
j) Cualquier condición especial o restricción que debe seguirse para la operación de la lámpara, como por ejemplo su operación con circuitos de atenuación. Cuando las lámparas no sean aptas para atenuación, las lámparas pueden marcarse como se muestra en la Figura 1 o con alguna de las leyendas, como, por ejemplo: "No usar con atenuadores de luz" o "No atenuar" o "No atenuable", entre otras.

Figura 1 - Atenuación no permitida
9.2.2 Una lámpara tubular de LED puede marcarse con distorsión armónica total en corriente si cumple con el inciso 5.7. Una lámpara tubular de LED puede marcarse como "baja distorsión armónica en corriente" o "THDi < 30%" si la distorsión armónica que se mide es menor al 30%.
9.3 Garantía del producto
Todas las lámparas tubulares de LED deben presentar una garantía mínima de tres años que cubra la reposición del producto por defectos prematuros, contados a partir de la fecha de venta y en términos de la Ley Federal de Protección al Consumidor y la NOM-024-SCFI-2013 (véase Capítulo 2. Referencias). La garantía se debe incluir en el empaque del producto o dentro del mismo.
9.4 Formas de comprobación
Cumplimiento del inciso 9.1 se comprueba de acuerdo con lo siguiente:
• Presencia y legibilidad del marcado mediante una inspección visual.
• La durabilidad del marcado – lo que se relaciona con su aplicación sobre el producto – se comprueba frotando suavemente durante 15 s con un pedazo de paño mojado en agua. El marcado debe ser legible después de la prueba.
Disponibilidad de la información que se requiere en los incisos 9.2 y 9.3, por inspección visual.
10. Vigilancia
La Secretaría de Energía, a través de la Comisión Nacional para Uso Eficiente de la Energía y la Procuraduría Federal del Consumidor, conforme a sus atribuciones y en el ámbito de sus respectivas competencias, son las autoridades que estarán a cargo de vigilar el cumplimiento del presente Proyecto de Norma Oficial Mexicana.
El cumplimiento del presente Proyecto de Norma Oficial Mexicana no exime ninguna responsabilidad en cuanto a la observancia de lo dispuesto en otras Normas Oficiales Mexicanas.
11. Procedimiento de Evaluación de la Conformidad (PEC)
El presente PEC aplica a los productos de fabricación nacional, importación y que se comercialicen en los Estados Unidos Mexicanos.
De conformidad con los artículos 30 segundo párrafo, 43, 62, 64 y 69 de la Ley de Infraestructura de la Calidad, se establece el presente PEC.
11.1 Objetivo
Este PEC se establece para facilitar y orientar a los Organismos de Evaluación de la Conformidad, fabricantes, importadores, comercializadores, en la aplicación del presente Proyecto de Norma Oficial Mexicana, PROY-NOM-034-ENER-2025, Eficacia luminosa de lámparas tubulares de diodos emisores de luz (LED) para iluminación general. Límites, métodos de prueba y marcado, en adelante se referirá como PROY-NOM.
11.2 Referencias
Para la correcta aplicación de este PEC es necesario consultar los siguientes documentos vigentes:
• Ley de Infraestructura de la Calidad (LIC) y el reglamento aplicable.
11.3 Definiciones
Para los efectos de este PEC, se entenderá por:
11.3.1 Autoridad competente
La Secretaría de Energía (SENER) y la Comisión Nacional para el Uso Eficiente de la Energía (CONUEE) conforme a sus atribuciones.
11.3.2 Certificado de la conformidad inicial del producto
Documento que otorga el organismo de certificación de producto, acreditado y aprobado en los términos de la LIC y el reglamento aplicable, a fin de hacer constatar que un producto, o una familia de productos determinados, cumple con las especificaciones establecidas en el presente PROY-NOM, a las 1 000 h o 3 000 h de prueba según corresponda.
11.3.3 Certificado de la conformidad final del producto
Documento que otorga el organismo de certificación de producto, acreditado y aprobado en los términos de la LIC y el reglamento aplicable, a fin de hacer constar que un producto, o una familia de productos determinados, cumple con las especificaciones a las 3 000 h de prueba o 6 000 h de prueba según corresponda, establecidas en el presente PROY-NOM. Véase Tablas 2 y 3.
Nota: El solicitante puede obtener el certificado de conformidad final del producto, sin que necesariamente obtenga un certificado de conformidad inicial.
11.3.4 Cancelación del certificado de la conformidad del producto
Acto por medio del cual el organismo de certificación de producto acreditado y aprobado en los términos de la LIC y el reglamento aplicable deja sin efectos de modo definitivo el certificado de la conformidad del producto.
11.3.5 Especificaciones técnicas
Información de los productos que describe sus características de operación, que éstos cumplen con los criterios de agrupación de familia de producto y que ayudan a demostrar cumplimiento con las especificaciones establecidas en el presente PROY-NOM.
11.3.6 Evaluación de la conformidad
Proceso técnico que permite demostrar el cumplimiento con las Normas Oficiales Mexicanas. Comprende entre otros, los procedimientos de muestreo, prueba, inspección, evaluación y certificación.
11.3.7 Familia de productos
Agrupación de productos en el que las variantes son de carácter estético o de apariencia, pero conservan las características de diseño, construcción, componentes y ensamble que aseguran el cumplimiento con el presente PROY-NOM, según lo descrito en el inciso 11.5.3.4.
11.3.8 Informe de pruebas
Documento que emite un laboratorio de pruebas acreditado y aprobado en los términos de la LIC y el reglamento aplicable, mediante el cual se presentan los resultados obtenidos en las pruebas realizadas a las muestras seleccionadas.
11.3.9 Laboratorio de pruebas (LP)
Persona física o moral acreditada y aprobada conforme lo establece la LIC y el reglamento aplicable para realizar pruebas de acuerdo con lo establecido en el presente PROY-NOM.
11.3.10 Modificación del certificado de la conformidad del producto
Cualquier modificación al certificado de la conformidad del producto durante su vigencia siempre y cuando no sea vea afectado el cumplimiento con las especificaciones, requisitos de certificación y agrupación de familia indicados en el presente PROY-NOM.
El certificado de la conformidad del producto modificado debe incluir una leyenda que permita tener trazabilidad con el certificado que reemplaza y mantener el término de la fecha de vigencia del certificado final.
11.3.11 Organismos de Evaluación de la Conformidad (OEC)
Persona acreditada por una Entidad de Acreditación, y aprobada por la Autoridad Normalizadora competente, para llevar a cabo la Evaluación de la Conformidad de acuerdo con el presente PROY-NOM, la LIC y el reglamento aplicable, entiéndase por OEC, LP y Organismos de Certificación de Producto (OCP) acreditados y aprobados.
11.3.12 Organismo de certificación de producto (OCP)
Persona moral acreditada y aprobada conforme a la LIC y el reglamento aplicable, que tenga por objeto realizar funciones de certificación a los productos referidos en el presente PROY-NOM.
11.3.13 Producto
Lámpara tubular de LED, referidas en el campo de aplicación del presente PROY-NOM.
11.3.14 Renovación del certificado de la conformidad del producto
Emisión de un nuevo certificado de la conformidad del producto, previo seguimiento al cumplimiento con el presente PROY-NOM.
11.3.15 Seguimiento
Comprobación a la que están sujetos los productos certificados de la conformidad del producto con el presente PROY-NOM, y cuyo objeto es comprobar si dichos productos continúan cumpliendo o no, con lo establecido en el presente PROY-NOM. De acuerdo con los resultados obtenidos el OCP determina la vigencia o renovación, suspensión o cancelación.
11.3.16 Suspensión del certificado de la conformidad del producto
Acto mediante el cual el OCP interrumpe la validez, de manera temporal, de forma parcial o total, del certificado de la conformidad del producto.
11.4 Disposiciones generales
11.4.1 La evaluación de la conformidad se debe realizar por OEC acreditados y aprobados (LP y OCP) conforme a lo dispuesto en la LIC y el reglamento aplicable.
11.4.2 El interesado debe solicitar la evaluación de la conformidad con el presente PROY-NOM al OCP, cuando así lo requiera, para dar cumplimiento a las disposiciones legales o para otros fines de su propio interés. El OCP debe entregar al interesado la solicitud de servicios de certificación, el contrato de prestación de servicios y la información necesaria para llevar a cabo el proceso de certificación de producto.
11.4.3 Una vez que el interesado ha analizado la información proporcionada por el OCP, debe presentar la solicitud con la información respectiva, así como el contrato de prestación de servicios de certificación que celebra con dicho OCP.
11.4.4 Para la certificación inicial el interesado debe elegir un LP, con el objeto de someter a pruebas la muestra seleccionada.
11.4.5 La SENER a través de la Conuee, será la autoridad competente y quien puede resolver controversias en la interpretación de este PEC.
11.4.6 La ampliación de titularidad no está considerada en el presente PROY-NOM.
11.5 Procedimiento
11.5.1 Modalidad
Para obtener el certificado de la conformidad del producto, el interesado puede optar por la modalidad de certificación mediante pruebas periódicas al producto y para tal efecto, debe presentar la siguiente documentación al OCP:
11.5.1.1 Para el certificado de la conformidad con seguimiento mediante pruebas periódicas al producto (Modalidad 1):
• Informe de pruebas realizadas por un LP, de acuerdo con lo indicado en el inciso 11.5.2 Certificados de acuerdo con la vida útil de las lámparas.
• Fotografía de cada uno de los modelos que integra la familia de producto.
• Marcado del producto y marcado de empaque para cada modelo que integra la familia de producto.
• Garantía de producto.
• Ficha técnica o instrucciones de cada modelo, el cual debe incluir:
• Tipo de base de la lámpara y tipo de lámpara
• Valor de flujo luminoso nominal
• Vida útil nominal
11.5.1.2 El OCP, previo a iniciar el proceso de certificación, debe consultar, el listado de certificados cancelados, publicado en la sección de verificación y vigilancia del mercado de la página de internet de la Conuee, y asegurarse que el producto a certificar no haya sido cancelado bajo alguna de las siguientes condiciones:
• Por no atender las visitas de seguimiento.
• Por falsificación o alteración de documentos relativos a la Evaluación de la Conformidad del producto con el presente PROY-NOM.
• Por incumplimiento con las especificaciones del presente PROY-NOM.
• Cuando la Autoridad Normalizadora cancele el certificado o prohíba la comercialización del producto derivado de los resultados de la vigilancia del mercado.
11.5.1.3 En el caso de encontrarse en alguna o varias de las condiciones anteriores, el OCP debe asegurarse que el interesado atendió las causas que dieron origen a su cancelación, a través de evidencia documental que formará parte del expediente en la solicitud de certificación, y que debe incluir al menos lo siguiente:
• Análisis de causa raíz;
• Acciones correctivas; y
• Únicamente, en caso de cancelación por incumplimiento con las especificaciones del presente PROY-NOM, el interesado debe presentar un informe de pruebas de laboratorio cuya fecha de inicio de pruebas sea posterior a la fecha de cancelación del certificado cancelado.
El OCP es el responsable del muestreo de producto al cual se le efectúen las pruebas y, la decisión del LP en el cual se lleven a cabo los ensayos, debe acordarse entre el solicitante y el OCP. El informe de pruebas resultante tendrá una vigencia de 30 días naturales a partir del término de pruebas y debe demostrar que el producto cumple con todas las especificaciones del presente PROY-NOM.
Esta información debe acompañarse de una declaratoria bajo protesta de decir verdad, que manifieste que se han atendido las causas que dieron origen a la cancelación del certificado, la cual debe estar debidamente firmada por el representante legal; o cualquier persona autorizada por el solicitante (empresa, fabricante, importador, entre otros) ante el OCP.
El OCP es el responsable de determinar que la evidencia documental es válida y suficiente para continuar con el proceso de certificación de producto y, ante cualquier incertidumbre o controversia, deberá consultar a la Autoridad competente e informar al interesado de la certificación del proceso y de la resolución de esa Autoridad.
11.5.2 Certificados de acuerdo con la vida útil de las lámparas
11.5.2.1 Lámparas con vida útil nominal declarada menores o igual que 50 000 h
11.5.2.1.1 La muestra representativa debe ser enviada a un LP para realizar los ensayos correspondientes. El LP es el responsable de emitir el informe de pruebas iniciales a las 1 000 h; que en caso de ser favorable y cumpla con lo establecido en la Tabla 2, servirá para obtener la certificación inicial y tendrá una vigencia de 30 días naturales después de la fecha del término de pruebas para los fines antes mencionados.
11.5.2.1.2 Con el informe de pruebas anterior, el OCP otorga un certificado inicial, el cual debe incluir la siguiente leyenda en negritas: “Se extiende el presente certificado inicial, el cual será definitivo cuando la muestra bajo prueba demuestre el cumplimiento de acuerdo con el inciso 6.5 del PROY-NOM-034-ENER-2025”. El certificado inicial debe ser sustituido y retirado, cuando se obtenga el certificado final.
11.5.2.1.3 El informe de pruebas inicial, mencionado en el subinciso 11.5.2.1.1, debe establecer la fecha estimada del término de pruebas final correspondiente a las 3 000 h.
11.5.2.1.4 Posterior al término de pruebas establecido en el informe indicado en el subinciso 11.5.2.1.1, el LP debe continuar la prueba de flujo luminoso total mínimo mantenido a las 3 000 h, al concluir la prueba antes mencionada, debe proceder según aplique, conforme a los supuestos siguientes:
a) Si el resultado de la prueba de flujo luminoso total mínimo mantenido a las 3 000 h y la proyección a las 6 000 h de acuerdo con lo establecido en el Apéndice G demuestren cumplimiento con las especificaciones de la Tabla 2. El LP concluye la prueba y emite el informe de pruebas final, el cual debe ser enviado por el titular, al OCP responsable, para que éste emita el certificado de conformidad final.
b) Si el resultado de la prueba de flujo luminoso total mínimo mantenido a las 3 000 h no demuestra cumplimiento con las especificaciones de la Tabla 2, pero sí con la proyección a las 6 000 h de acuerdo con lo establecido en el Apéndice G. El LP debe continuar con la prueba, hasta concluir las 6 000 h y emitir un comunicado al titular, en donde se establece la fecha estimada del término de pruebas correspondiente a las 6 000 h, dicho comunicado debe ser enviado por el titular, al OCP, a más tardar 15 días hábiles contados a partir de la recepción de éste.
Al término de la prueba de flujo luminoso total mínimo mantenido a las 6 000 h, el LP debe emitir el informe de pruebas final en donde se especifique la fecha del término del mismo, el cual debe ser enviado por el titular, al OCP para que éste emita, de ser el caso, el certificado conformidad final.
c) Si el resultado de la prueba de flujo luminoso total mínimo mantenido a las 3 000 h y la proyección a las 6 000 h de acuerdo con lo establecido en el Apéndice G no demuestren cumplimiento con las especificaciones de la Tabla 2. El LP debe continuar con la prueba, hasta concluir las 6 000 h y emitir un comunicado al titular, en donde se establece la fecha estimada del término de pruebas final correspondiente a las 6 000 h, dicho comunicado debe ser enviado por el titular, al OCP, a más tardar 15 días hábiles contados a partir de la recepción de éste.
Al término de la prueba de flujo luminoso total mínimo mantenido a las 6 000 h, el LP debe emitir el informe de pruebas final en donde se especifique la fecha del término del mismo, el cual debe ser enviado por el titular, al OCP para que éste emita, de ser el caso, el certificado de conformidad final.
11.5.2.1.5 El OCP debe recibir el informe de pruebas final, según corresponda, ya sea a las 3 000 h o a las 6 000 h de acuerdo con los supuestos establecidos en el subinciso 11.5.2.1.4, a más tardar 15 días naturales posteriores a la fecha estimada por el LP, en caso de no haber recibido el informe final, requerirá al titular del certificado mediante un comunicado, el ingreso de dicho informe. A partir de la emisión del comunicado, el titular cuenta con 5 días hábiles para el ingreso del mismo, de lo contrario, el certificado en cuestión será suspendido teniendo un plazo máximo de 15 días naturales, para presentar la evidencia solicitada. En caso de no dar respuesta a la suspensión, el certificado emitido será cancelado conforme a lo establecido en el presente PEC.
11.5.2.2 Lámparas con vida útil nominal declaradas mayores que 50 000 h
11.5.2.2.1 La muestra representativa debe ser enviada a un LP para realizar los ensayos correspondientes. El LP es el responsable de emitir el informe de pruebas iniciales a las 3 000 h; que en caso de que el resultado sea favorable y cumpla con el inciso 6.2, servirá para obtener la certificación inicial y tendrá una vigencia de 30 días naturales después de la fecha de término de pruebas para los fines antes mencionados.
11.5.2.2.2 Con el informe de pruebas anterior, el OCP otorga un certificado inicial, el cual debe incluir la siguiente leyenda en negritas: “Se extiende el presente certificado inicial, el cual será definitivo cuando la muestra bajo prueba demuestre el cumplimiento de acuerdo con el inciso 6.5 del PROY-NOM-034-2025”. El certificado inicial debe ser sustituido y retirado cuando se obtenga el certificado final.
11.5.2.2.3 El informe de pruebas inicial, mencionado en el inciso 11.5.2.2.1, debe establecer la fecha estimada del término de pruebas del informe final, a partir del vencimiento de esta fecha y considerando 15 días naturales posteriores a la misma, el OCP, en caso de no haber recibido el informe final, requerirá al solicitante de la certificación mediante un comunicado, el ingreso de dicho informe. A partir de la emisión del comunicado, el solicitante cuenta con 5 días hábiles para el ingreso del mismo, de lo contrario, el certificado en cuestión será suspendido teniendo un plazo máximo de 15 días naturales, para presentar la evidencia solicitada. En caso de no dar respuesta a la suspensión, el certificado emitido será cancelado conforme a lo establecido en el presente PEC.
11.5.2.2.4 Posterior a la emisión del informe indicado en el inciso 11.5.2.2.2 el LP debe continuar la prueba de flujo luminoso total mínimo mantenido a las 6 000 h. Al concluir el ensayo se emite el informe de pruebas final, el cual debe ser enviado, por el solicitante, al OCP responsable, que en caso de presentar cumplimiento con lo especificado en la Tabla 3, debe otorgar el certificado final.
11.5.3 Muestreo y agrupación de familia
11.5.3.1 Para efectos de la certificación inicial, el muestreo debe de sujetarse a lo dispuesto en las Tablas 4 y 5, de acuerdo con la cantidad de modelos que integran una familia de productos, deben seleccionarse los especímenes del modelo representativo de ésta. La selección de especímenes se realiza considerando el modelo de menor potencia eléctrica, en caso de tener más de un modelo con la misma potencia se considerará el de mayor temperatura de color para las pruebas eléctricas, fotométricas, radiométricas iniciales y mantenimiento del flujo luminoso total; para las pruebas de seguridad se deben tomar los especímenes de mayor potencia eléctrica.
Tabla 4 - Muestras de modelos de lámparas tubulares de LED para certificación inicial y seguimiento
Número de modelos en el alcance del certificado |
Certificación inicial - Cantidad de modelos sujetos a |
Seguimiento - Cantidad de modelos sujetos a |
Pruebas completas |
Pruebas completas |
|
Igual o menor que 10 |
1 |
1 |
Mayor que 10 e igual o menor que 20 |
2 |
2 |
Mayor que 20 e igual o menor que 30 |
2 |
2 |
Nota 1: Cada modelo muestreado debe integrarse por la cantidad de piezas descritas en la Tabla 5.
Nota 2: Modelos representativos:
• Modelo 1: El de menor potencia eléctrica y mayor temperatura de color para las pruebas: eléctricas, fotométricas, radiométricas iniciales y mantenimiento del flujo luminoso total.
• Modelo 2: El de mayor potencia eléctrica, para las pruebas: eléctricas, fotométricas, radiométricas iniciales y mantenimiento del flujo luminoso total.
Tabla 5 – Muestras para certificación inicial
Certificación inicial |
|
Prueba |
Piezas a evaluar |
Fotométricas, radiométricas, mantenimiento del flujo luminoso total |
3 |
Eléctricas |
3 |
Nota 1: Para las pruebas eléctricas, se debe elegir un modelo de mayor potencia y las pruebas deben reportarse en el primer informe de pruebas que se ingrese.
Nota 2. Para verificar los requisitos respecto de las condiciones de falla, como mínimo se deberá utilizar una muestra preparada según las condiciones establecidas en los incisos 5.13 y 6.14.
Para efectos de muestreo de seguimiento, éste debe de sujetarse a lo dispuesto en la Tabla 4, y una vez seleccionando del universo de modelos que se tenga por agrupación de familia de producto, se debe evaluar las piezas descritas en la Tabla 6.
Tabla 6 – Muestreo a realizar en seguimiento
Pruebas |
Piezas por evaluar |
Piezas testigo |
Todas las pruebas para sólo uno de los modelos seleccionado de acuerdo con el inciso 11.5.5.2. |
6 |
3 En el caso de las piezas testigo, las pruebas se deben ejecutar completas desde el inicio, junto con la muestra por evaluar, con el fin de garantizar su maduración y que se tengan resultados a las 6 000 horas y que sus resultados pueden sustituir los de la muestra que haya presentado falla. |
Para el resto de los modelos seleccionados de acuerdo con el inciso 11.5.5.2, se ejecutan las pruebas siguientes: Fotométricas y radiométricas: 6.2 Eficacia luminosa. 6.3. Variación del flujo luminoso total nominal. 6.4. Temperatura de color correlacionada (TCC). 6.5. Flujo luminoso total mínimo mantenido. 6.6. Índice de rendimiento de color (IRC). |
3 |
3 |
Eléctricas: • 6.7. Factor de potencia. • 6.8. Distorsión armónica total. • 6.9 Temperatura de la lámpara tubular de LED • 6.10 Seguridad de la base de pines durante la instalación • 6.11 Protección contra el contacto accidental de partes vivas. • 6.12 Resistencia al calor. • 6.13 Resistencia a la flama e ignición |
3 |
3 |
Nota: Para las pruebas eléctricas y fotométricas y radiométricas, la muestra testigo sólo se utilizaría en caso de ser necesaria, para confirmar resultados. |
||
11.5.3.2 Para llevar a cabo el muestreo, es necesario contar con un mínimo de modelos para permitan realizar las pruebas de acuerdo con lo indicado en la Tabla 5, tomando en cuenta que no se deben repetir los modelos ya probados, de lo contrario, se darán de baja del certificado los modelos no disponibles en el momento de realizar dicho muestreo.
11.5.3.3 Únicamente se permite muestrear en modelos que anteriormente fueron probados, cuando no se puedan muestrear modelos diferentes a los probados previamente o que la certificación haya amparado únicamente un modelo o se hayan probado todos los modelos amparados en el certificado de la conformidad del producto.
11.5.3.4 Para el proceso de certificación, las lámparas tubulares de LED se clasifican y agrupan por familia, de acuerdo con los siguientes criterios:
• Ser del mismo tipo de base G5, G13 o Fa8.
• Deben fabricarse en la misma planta productiva.
• De la misma marca.
• Por su tipo de instalación
• Lámpara tubular de LED de reemplazo;
• Lámpara tubular de LED de conversión.
11.5.4 Vigencia de los certificados de cumplimiento del producto
11.5.4.1 Lámparas con vida útil declarada nominal menor o igual que 50 000 h, de acuerdo con la modalidad de seguimiento mediante pruebas periódicas al producto.
El certificado de conformidad inicial del producto, emitido a las 1 000 h de prueba, para lámparas con vida útil declarada nominal menor o igual que 50 000 h, tendrá una vigencia de 7 meses, contados a partir de la fecha de su emisión.
Si el certificado de conformidad inicial del producto es sustituido a las 3 000 h de prueba, el certificado de conformidad final del producto tendrá una vigencia de 21 meses, contados a partir de la fecha de su emisión.
Si el certificado de conformidad inicial del producto es sustituido a las 6 000 h de prueba, el certificado de conformidad final del producto tendrá una vigencia de 17 meses, contados a partir de la fecha de su emisión.
11.5.4.2 Para lámparas con vida útil declarada nominal mayor que 50 000 h, de acuerdo con la modalidad de seguimiento mediante pruebas periódicas al producto.
El certificado de conformidad inicial del producto para lámparas con vida útil declarada nominal mayor que 50 000 h, emitido a las 3 000 h de prueba, tendrá una vigencia de 4 meses, contados a partir de la fecha de su emisión.
El certificado de conformidad final del producto a las 6 000 h de prueba tendrá una vigencia de 20 meses, contados a partir de la fecha de su emisión.
11.5.4.3 El solicitante puede obtener el certificado de conformidad final del producto, sin que necesariamente obtenga un certificado de conformidad inicial, y tendrá una vigencia de 24 meses posteriores a la fecha de su emisión; para esto, debe presentar en un solo informe emitido a las 6 000 h, los resultados que demuestren cumplimiento con las especificaciones señaladas en el Capítulo 5, y este debe ser acompañado de los registros de prueba obtenidos a las (0 h), a las 1 000 h y 3 000 h con proyección. Los registros deben indicar fecha y hora en que se obtuvieron.
11.5.4.4 Para las renovaciones de certificado, bajo la modalidad 1 se otorgará una vigencia de 24 meses. En este caso debe haberse atendido los seguimientos y obtener resultados satisfactorios.
11.5.5 Seguimiento
11.5.5.1 El OCP debe realizar el seguimiento de cumplimiento con el presente PROY-NOM, de los productos certificados, de manera documental y por revisión con muestreo del producto certificado, en las bodegas, lugares de comercialización del producto o domicilio que indique el titular del certificado, ubicado en el territorio nacional conforme a lo siguiente:
11.5.5.1.1 Se deben realizar y documentar (véase inciso 11.5.5.4) dos seguimientos; el primer seguimiento es documental y debe realizarse, en el sexto o séptimo mes, contados a partir de la fecha de emisión del certificado de la conformidad inicial del producto. En este seguimiento se debe verificar por inspección visual y documentar, que el marcado en el cuerpo y el empaque del producto es el definitivo y cumple con los requisitos establecidos en el Capítulo 9, además se debe verificar que no existen cambios o modificaciones en la información del producto y requisitos de certificación, presentada por el titular del certificado; lo anterior para cada uno de los modelos amparados por el certificado de la conformidad inicial del producto. En este seguimiento, el OCP debe informar al titular los modelos que serán muestreados en el segundo seguimiento, con la finalidad de que este pueda prever contar con el producto cuando le corresponda atender la segunda visita.
11.5.5.1.2 El segundo seguimiento consiste en un muestreo de los modelos amparados por el certificado, con el fin de realizar las pruebas de laboratorio correspondientes de acuerdo con lo indicado en la Tabla 6, este seguimiento se realiza entre el decimotercero y decimocuarto mes, contados a partir de la fecha de emisión del certificado de la conformidad inicial del producto en una muestra tomada por el OCP como se especifica en el inciso 11.5.3. Cuando el OCP, no pueda llevar a cabo el muestreo del modelo que informó en el primer seguimiento, deberá tomar la muestra que tenga disponible y procederá a dar de baja del certificado de conformidad, el modelo que no fue posible muestrear.
11.5.5.1.3 Si el solicitante opta por obtener el certificado de la conformidad final del producto, como se especifica en el inciso 11.5.4.3, los seguimientos se realizarán en meses indicados en 11.5.5.1.1 y 11.5.5.1.2, contados a partir de la fecha de emisión del certificado de la conformidad final del producto.
11.5.5.2 La muestra para seguimiento, debe integrarse por miembros de los modelos diferentes a los que se probaron previamente. Para las pruebas de seguimiento se debe tomar una muestra, sin considerar la potencia eléctrica ni la temperatura de color correlacionada.
11.5.5.3 El titular del certificado es el responsable de presentar:
a) Las muestras al LP en un plazo no mayor a 30 días naturales, contados a partir del día siguiente de la toma de muestra y debe de notificar al OCP dicho ingreso a más tardar cinco días hábiles posteriores al mismo.
b) Los informes de pruebas vigentes al OCP a más tardar cinco días hábiles posteriores al término de pruebas del mismo.
11.5.5.4 El OCP debe expedir un informe o documento, y sea cual fuere el resultado, debe ser firmado por un representante autorizado por el OCP, y el titular del certificado de conformidad de producto o un representante autorizado por el mismo, en el caso de que éste haya intervenido en la visita.
La falta de participación del titular del certificado o su negativa a firmar el informe, no afectará su validez, para lo cual el OCP debe redactar en el informe las causas por las cuales no se pudo firmar. Las visitas de seguimiento se deben realizar únicamente por personal autorizado por el OCP. Los interesados (fabricantes, comercializador, importador, distribuidor o proveedor) deben permitir el acceso y proporcionar las facilidades necesarias al personal del OCP. El informe de seguimiento debe contener como mínimo lo siguiente:
• Nombre, denominación o razón social del titular del certificado;
• Fecha en que inicie y en que concluya el seguimiento la cual debe indicarse por hora, día, mes y año;
• Calle, número, población o colonia, municipio o alcaldía, código postal y entidad federativa en que se encuentre ubicado el sitio en el que se practique la visita;
• Número (s) de certificado (s) de la conformidad del producto; por el cual se está dando el seguimiento;
• Modalidad de Certificación;
• Modelos que ampara el certificado;
• Norma de referencia del certificado;
• De haberse presentado incumplimientos en el primer seguimiento, el OCP debe documentar la atención y cierre que el titular haya realizado al respecto;
• Se debe corroborar que la información legal, domicilio (s), datos del representante e información de contacto no han sufrido cambios desde la certificación inicial o, en la certificación final cuando no se haya obtenido el inicial;
• Modelo (s) de la (s) muestra (s) probada (s) en la certificación inicial o, en su caso la certificación de la conformidad final cuando no se haya obtenido el inicial;
• En su caso, modelo (s) de la (s) muestra (s) probada (s) en seguimiento (s) previo (s);
Solo para el segundo seguimiento:
• Muestras y número de piezas seleccionadas para pruebas en el seguimiento actual;
• Criterios de selección de las muestras seleccionadas en el seguimiento actual;
• Al menos una fotografía de la (s) muestra (s) enviada (s) a pruebas;
• Nombre y firma de quienes intervinieron en el proceso de seguimiento.
• La siguiente información relacionada con las pruebas:
• Fecha en la que se realizó el envío al LP;
• Nombre del LP seleccionado para realizar las pruebas;
• Fecha en que se realizaron las pruebas;
• Fecha del término de pruebas;
• Fecha de emisión del informe de resultados; y
• Fecha de ingreso del informe de pruebas al OCP.
• En ambos seguimientos nombre y firma de quienes intervinieron en el proceso de seguimiento.
Se debe incluir en el expediente el informe de resultados emitido a las 3 000 h y la proyección a las 6 000 h, así como su resultado de pruebas a las 6 000 h, ambos deben cumplir para ser considerados válidos, el cual deberá presentarse al OCP dentro del plazo de vigencia establecido en el inciso 11.5.7.1 inciso c, para considerarlo válido.
11.5.5.5 De los resultados del seguimiento correspondiente, el OCP dictaminará la suspensión, cancelación o renovación del certificado de cumplimiento del producto.
11.5.6 Renovación
Para obtener la renovación de un certificado de la conformidad del producto en cualquier modalidad que resulte aplicable, se procederá de acuerdo con que se menciona a continuación:
11.5.6.1 Deben presentarse los documentos siguientes:
a) Solicitud de renovación (a través de los medios electrónicos o físicos que defina el OCP).
b) Actualización de la información del producto en caso de haber sufrido alguna modificación o declaración de que no se presentan cambios.
11.5.6.2 La renovación estará sujeta a lo siguiente:
a) Haber cumplido en forma satisfactoria con los seguimientos y pruebas establecidas en el inciso 11.5.5 y las especificaciones del presente PROY-NOM.
b) Que se mantengan las condiciones de la modalidad de certificación, bajo la cual se emitió el certificado de cumplimiento inicial.
Una vez renovado el certificado de la conformidad del producto, se estará sujeto a los seguimientos correspondiente a la modalidad de certificación, así como las disposiciones aplicables del presente PEC.
11.5.7 Suspensión y cancelación del certificado de la conformidad del producto
Sin perjuicio de las condiciones contractuales de la prestación del servicio de certificación, el OCP debe aplicar los siguientes criterios para suspender o cancelar un certificado:
11.5.7.1 Se procederá a la suspensión del certificado:
a) Por incumplimiento de los requisitos de marcado o información comercial establecidos en el presente PROY-NOM.
b) Cuando el seguimiento no pueda llevarse a cabo por causas imputables al titular del certificado.
c) Cuando el titular del certificado no presente al OCP el informe de pruebas derivado del seguimiento, antes de 30 días naturales contados a partir del término de pruebas y dentro la vigencia del certificado.
d) Cuando, como resultado del seguimiento, el OCP identifique en el informe de pruebas cambios o modificaciones a las especificaciones o diseño de los productos certificados, que no hayan sido evaluados por causas imputables al titular del certificado.
e) Cuando la Autoridad competente lo determine con base en los artículos: 139, 140 al 150 y 154, fracción VI de la LIC y el reglamento aplicable.
f) El OCP debe informar al titular del certificado sobre la suspensión, otorgando un plazo de 30 días naturales posteriores a la suspensión, para hacer las aclaraciones pertinentes o subsanar las deficiencias del producto o del proceso de certificación. Pasado el plazo otorgado y en caso de que no se hayan subsanado los incumplimientos, el OCP procederá a la cancelación inmediata del certificado de la conformidad del producto.
11.5.7.2 Se procederá a la cancelación del certificado:
a) Cuando se detecte falsificación o alteración de documentos relativos a la certificación.
b) A petición del titular de la certificación, siempre y cuando se hayan cumplido las obligaciones contraídas en la certificación, al momento en que se solicita la cancelación.
c) Cuando se incurra en declaraciones engañosas en el uso del certificado.
d) Por incumplimiento con especificaciones del presente PROY-NOM, que no sean aspectos de marcado o información.
e) Una vez notificada la suspensión, no se corrija el motivo de ésta en el plazo establecido.
f) Cuando la Autoridad competente lo determine con base en los artículos 139, 140, 142, 143, 150 y 154, fracción VI de la LIC y el reglamento aplicable.
g) Se hayan efectuado modificaciones al producto sin haber notificado al OCP correspondiente.
h) No se cumpla con las características y condiciones establecidas en el certificado.
i) Cuando en el documento donde consten los resultados de la evaluación de la conformidad pierda su utilidad o se modifiquen o dejen de existir las circunstancias que dieron origen al mismo, previa petición de parte.
En todos los casos de cancelación se procede a dar aviso a la Autoridad competente, informando los motivos de ésta. El OCP mantendrá el expediente de los productos con certificados cancelados por incumplimiento con el presente PROY-NOM.
11.5.8 Ampliación o reducción del certificado de la conformidad del producto
11.5.8.1 Una vez otorgado el certificado de la conformidad del producto se puede ampliar, reducir o modificar su alcance, a petición del titular del certificado, siempre y cuando se demuestre que se cumple con los requisitos del presente PROY-NOM, mediante análisis documental y, de ser el caso, pruebas tipo.
11.5.8.2 Para el caso del presente PROY-NOM queda prohibida la ampliación de la titularidad del certificado de la conformidad del producto.
11.5.8.3 El titular de la certificación puede ampliar, modificar o reducir en los certificados, modelos, marcas, especificaciones técnicas o domicilios, entre otros, siempre y cuando se cumpla con los criterios generales en materia de certificación y correspondan a la misma familia de productos.
11.5.8.4 Los certificados emitidos como consecuencia de una ampliación quedarán condicionados tanto a la vigencia y seguimiento que se realicen al certificado de la conformidad del producto del cual se realiza la ampliación.
11.5.8.5 Los certificados emitidos podrán contener la totalidad de modelos y marcas del certificado base, además de aquellos correspondientes a las marcas o modelos ampliados, modificados o reducidos.
11.5.8.6 Para ampliar, modificar o reducir el alcance del certificado de la conformidad del producto, se deben presentar los documentos siguientes:
a) Información técnica que justifiquen los cambios solicitados y que demuestren el cumplimiento con las especificaciones establecidas en el presente PROY-NOM, con los requisitos de agrupación de familia y con la modalidad de certificación correspondiente.
b) En caso de que el producto sufra alguna modificación, el titular del certificado deberá notificarlo al OCP correspondiente.
11.6 Diversos
11.6.1 La lista de los OEC acreditados y aprobados, puede consultarse con la Autoridad Normalizadora competente, además de que dicho listado aparece publicado en la Plataforma Tecnológica Integral de Infraestructura de la Calidad.
11.6.2 Los gastos que se originen por los servicios de certificación y pruebas de laboratorio, por actos de evaluación de la conformidad, serán a cargo de la persona a quien se efectúe ésta.
11.6.3 Responsabilidades de los OEC
Los OEC que se encuentren acreditados y aprobados para llevar a cabo la evaluación de la conformidad con el presente PROY-NOM, comparten mutua responsabilidad sobre las certificaciones que deriven de sus actividades correspondientes. Se debe contar con un contrato o convenio de colaboración en el que se definan e identifiquen plenamente sus atribuciones respectivas (pruebas, muestreo, revisión de requisitos de certificación, determinación de cumplimiento con las especificaciones, personal involucrado en cada actividad, entre otros), con el fin de evitar ambigüedades, dicho contrato o convenio debe ser revisado y ratificado por las partes involucradas al menos cada 2 años, siempre y cuando no haya cambios sustanciales como puede ser el crecimiento o reducción de infraestructura, cambio de domicilio, cambio de razón social, entre otros.
11.6.3.1 Revisión del marcado
El cumplimiento del etiquetado o marcado estará sujeto a los siguientes aspectos:
a) En caso de que alguna información correspondiente al marcado como puede ser ubicación, permanencia, contenido, entre otras que no implique realizar mediciones (dimensiones o tamaño) o prueba de indelebilidad, sea reportada por el LP como no evaluada o no aplica o no cumple, el OCP deberá realizar esta verificación de contenido de información y complementar el expediente del solicitante, auxiliándose de sus procedimientos internos.
b) Los LP encargados de llevar a cabo las pruebas para verificar el cumplimiento con el presente PROY-NOM, deben corroborar la indelebilidad de la información si así se requiere, también pueden realizar la evaluación de la información contenida en la etiqueta y/o placa con la que se comercializa el producto; si el solicitante presenta un prototipo de esta, los resultados que emita el LP deben señalar que dicha información no es definitiva y se trata de un prototipo, a través de la sección de opinión/comentarios/observaciones del informe de resultados e incluir evidencia gráfica de lo presentado (fotografía).
c) En las certificaciones iniciales únicamente se permite evaluar el marcado, el empaque, etcétera, para lo cual el solicitante debe presentar una declaratoria bajo protesta de decir verdad que el producto no ha sido certificado anteriormente en algún otro OCP.
d) Durante el primer seguimiento realizado a la certificación, será obligatorio evaluar marcado, empaque, etcétera., sobre la información con la que se comercializa el producto, con el fin de garantizar que se llevó a cabo esta revisión, para lo cual, el LP y OCP deben tomar evidencia fotográfica del producto con su marcado/empaque (que se aprecien ambos) para corroborar lo solicitado por el presente PROY-NOM, esta información se debe desahogar en el informe del LP o en los formatos de revisión y evaluación de los OCP.
11.6.4 Informe de prueba
Los resultados de la prueba deben plasmarse en un informe de resultados, el cual debe ser firmado por el personal autorizado por la Autoridad Normalizadora y las entidades de acreditación para tales efectos:
El informe de pruebas debe contener como mínimo la siguiente información:
• Información que identifique al LP;
• Fecha de recepción del producto, fecha de realización del método de prueba, fecha del término de pruebas y fecha de emisión del informe de prueba;
• Identificación del producto bajo prueba (incluido marca, modelo o tipo de producto de acuerdo con la clasificación del Capítulo 4);
• Nombre e información de contacto del solicitante;
• Referencia del método de prueba;
• Los equipos de medición usados en la prueba incluyendo la identificación del equipo, fecha de calibración y la vigencia de la calibración;
• Se deben indicar especificaciones a cumplir de acuerdo con las características del producto sometido a pruebas;
• Reportar las condiciones de prueba de acuerdo con los métodos que se estén evaluando;
• Especificaciones eléctricas;
• Resultados de la prueba incluyendo los datos obtenidos de las mediciones realizadas;
• La evaluación y análisis de los resultados de la prueba;
• Apartado de opinión, comentarios u observaciones, en caso de ser requerido;
• Firma del personal que realiza las pruebas; y
• Firma del personal que autoriza los resultados obtenidos.
• Las siguientes fotografías del producto deben aparecer en el informe de resultados:
• Del producto con la identificación asignada por el LP;
• Del producto cuando se encuentre en acondicionamiento; y
• Del producto durante el desarrollo del método de prueba.
Nota: Para la emisión del informe de resultados a las 6 000 horas, se debe presentar los registros de resultados que señala el inciso 11.5.4.2.
11.6.5 Certificado de la conformidad del producto
Los resultados de la certificación deben plasmarse en un certificado de la conformidad del producto, por el personal autorizado por la Autoridad Normalizadora para otorgar la certificación.
El certificado debe contener como mínimo la siguiente información:
• Información que identifique al OCP;
• Nombre y firma de las personas que autorizan la certificación;
• Nombre e información de contacto del solicitante;
• Fecha de emisión del certificado;
• Alcance de la certificación;
• Modalidad de la certificación;
• Vigencia del certificado;
• Número de informe de pruebas que ampara la certificación;
• Fracción arancelaria con Número de Identificación Comercial (NICO);
• País de origen;
• País de procedencia;
• Marca;
• Tipo de producto;
• Modelo representativo;
• Especificaciones del modelo representativo;
• Tipo (Conforme a descripción del Capítulo 4):
• Tensión eléctrica (V);
• Frecuencia eléctrica (Hz);
• Potencia eléctrica (W) o Corriente eléctrica Nominal (A);
• La fecha o código que permita identificar el periodo de fabricación;
• Modelo del producto;
• Flujo luminoso total nominal;
• Flujo luminoso total mínimo mantenido;
• Eficacia Luminosa; y
• Modelos amparados por el certificado.
El incumplimiento del presente Proyecto de Norma Oficial Mexicana será sancionado conforme a lo dispuesto por la Ley de Infraestructura de la Calidad y demás disposiciones legales aplicables.
13. Concordancia con normas internacionales
Con relación a la eficiencia energética, al momento de la elaboración del presente Proyecto de Norma Oficial Mexicana, no se encontró concordancia con ninguna norma internacional.
Apéndice A
(Normativo)
Mediciones eléctricas, fotométricas y radiométricas para lámparas tubulares de diodos emisores de luz (LED)
A.1 Objetivo
Este Apéndice tiene como objetivo establecer los requisitos técnicos mínimos que se deben cumplir para medir las características eléctricas, fotométricas y radiométricas de lámparas tubulares de diodos emisores de luz (LED), tanto cuando se emplee una esfera de integración luminosa, como cuando se use un gonio-fotómetro.
A.2. Aparatos e instrumentos de medición
A.2.1 Fuente de alimentación
A.2.1.1 Forma de onda
La distorsión total de armónicas de la tensión eléctrica de alimentación no debe de exceder el 3% de la suma de las componentes armónicas, considerando hasta la 49.
A.2.1.2 Regulación de tensión eléctrica
La tensión eléctrica de alimentación en c.a. (tensión eficaz) aplicada al espécimen bajo prueba, debe tener una regulación de ± 0,2%, bajo carga.
A.2.2 Instrumentos de medición eléctricos
El wáttmetro, vóltmetro o voltímetro y ampérmetro o amperímetro deben ser capaces de obtener lecturas del tipo valor eficaz verdadero y deben estar de acuerdo con la forma de onda y la frecuencia de operación del circuito de medición.
A.2.2.1 Exactitud
La exactitud del vóltmetro o voltímetro y el ampérmetro o amperímetro, debe de ser < 0.5%.
La exactitud del wáttmetro debe ser < 0.75%
Los instrumentos de medición antes mencionados se calibran con un nivel de confianza de 95% y un factor de cobertura k=2.
A.2.3 Instrumentos de medición fotométricos y radiométricos
A.2.3.1 Lámparas de referencia
Las lámparas de referencia deben contar con el informe de calibración correspondiente, que indique el valor de flujo luminoso total.
A.2.3.2 Esfera de integración luminosa
La reflectancia de las paredes interiores de la esfera de integración luminosa debe de ser mayor o igual que 80% y que puedan montarse las unidades bajo prueba sin causar la interferencia de las múltiples reflexiones de la luz. El intervalo de trabajo del espectroradiómetro debe cubrir al menos de 380 nm a 720 nm; y su resolución debe ser de al menos 5 nm.
A.2.3.3 Gonio-fotómetro
Los pasos angulares del mecanismo de posicionamiento del Gonio-fotómetro deben ser como máximo 0.5º con una velocidad angular adecuada al tiempo de respuesta del detector fotométrico. La desviación de la responsividad espectral relativa del detector fotométrico (f1’), no debe de exceder el 10%.
A.2.4 Calibración
El sistema de medición debe proveer trazabilidad metrológica a unidades del sistema internacional de unidades.
A.3 Preparación y acondicionamiento de las muestras
A.3.1 Condiciones ambientales
Las mediciones fotométricas, radiométricas y eléctricas de las lámparas tubulares de diodos emisores de luz (LED) son sensibles a los cambios de la temperatura ambiental, a los flujos de aire y a las reflexiones indeseables.
Las pruebas deben realizarse en un cuarto libre de corrientes de aire y manteniendo la iluminación ambiental en niveles que no produzcan reflexiones indeseables.
Las mediciones deben realizarse a una temperatura ambiental de 25°C ± 1°C, medida a la misma altura y a no más de 1 m del espécimen de prueba; y con humedad relativa de 65% como máximo.
A.3.1.1 Condiciones térmicas para el montaje
Los soportes que se utilicen en el montaje del espécimen bajo prueba en la esfera de integración luminosa deben ser de baja conductividad térmica y también se debe cuidar que dichos soportes usados no causen perturbaciones al flujo de aire.
A.3.2 Posición del espécimen
El espécimen bajo prueba debe ser instalado en la posición especificada por el fabricante, cuando no se especifique una posición éste debe ser instalado de forma horizontal, la estabilización y las mediciones eléctricas, fotométricas y radiométricas, deben realizarse con dicha posición.
A.3.3 Tensiones monofásicas de prueba
Todas las pruebas deben realizarse con la lámpara conectada a un circuito de suministro de frecuencia de 60 Hz y la tensión eléctrica de prueba debe ser la indicada en la Tabla A.1.
Tabla A.1 - Tensiones monofásicas de prueba para lámparas tubulares de LED
Tensión eléctrica asignada |
Tensión eléctrica de prueba (V) |
Menor o igual que 120 V |
120±1 |
Mayor que 120 V hasta 140 V |
127±1 |
Mayor que 140 V hasta 220 V |
220±2 |
Mayor que 220 V hasta 240 V |
240±2 |
Mayor que 240 V hasta 254 V |
254±2 |
Mayor que 254 V hasta 277 V |
277±2 |
Si una lámpara tubular de LED está marcada con un intervalo de tensión eléctrica, se debe considerar como tensión eléctrica nominal el valor de la tensión eléctrica menor de prueba.
Nota 1: La tensión eléctrica de prueba se refiere a las tensiones nominales normalizadas a las que se realizaran las pruebas, de acuerdo con el párrafo anterior.
Nota 2: La tensión eléctrica nominal se refiere a la marcada en el producto, como un único valor o como un intervalo.
A.3.4 Circuito de medición
La conexión debe de hacerse entre la fuente de alimentación y el espécimen de prueba, como se muestra en la Figura A.1.

a) Circuito de prueba para lámparas tubulares de LED conectadas al controlador

b) Circuito de prueba para lámparas tubulares de LED conectadas a la tensión eléctrica de alimentación
Figura A.1 - Circuitos de prueba para lámparas tubulares de LED
A.3.5 Estabilización
Durante el periodo de estabilización el espécimen debe operar bajo las condiciones establecidas en el inciso A.3.1., así como con la posición especificada en el inciso A.3.2., y operarse durante 30 min, o hasta que la potencia eléctrica en watts se estabilice, la medición de potencia eléctrica se debe tomar cada 15 min (0 min, 15 min y 30 min) y no debe existir una variación mayor que 0.5% entre dos lecturas consecutivas.
No se deben tomar mediciones antes de que el espécimen bajo prueba alcance la estabilización.
A.3.6 Envejecimiento de los productos
Las lámparas tubulares de LED deben de ser probadas sin envejecimiento.
A.3.7 Las mediciones fotométricas y radiométricas
Las mediciones de flujo luminoso total, temperatura de color correlacionada e índice de rendimiento de color pueden llevarse a cabo con cualquiera de las siguientes opciones.
Las lámparas tubulares de LED se deben operar a la potencia de entrada máxima de la lámpara. Si ocurren múltiples modos en el valor máximo de potencia de entrada (por ejemplo, cambios de temperatura de color correlacionada) se deberá ajustar la temperatura de color correlacionada máxima dentro del rango de TCC asignado.
A.3.7.1 Mediciones mediante gonio-fotómetro
El flujo luminoso total se determina a partir de la integración de la distribución espacial de la iluminancia, medida por el detector fotométrico, el cual debe cubrir el ángulo sólido completo, donde emite luz el espécimen bajo prueba.
A.3.7.2 Mediciones en esfera de integración luminosa
El flujo luminoso total se calcula midiendo la iluminancia en una sola posición y considerando este valor como un promedio válido para toda el área de la superficie interna de la esfera de integración luminosa.
Con este método se tiene la salida de luz total con una sola medición. Las corrientes de aire deben ser mínimas y la temperatura debe estar sujeta a lo establecido en el inciso A.3.1.
Para conocer algunas configuraciones típicas de las esferas de integración luminosa, véase el Apéndice G.
A.4 Procedimiento
Con el circuito de medición establecido en el inciso A.3.4, tómese, lo más rápidamente posible entre ellas, las lecturas de intensidad de corriente eléctrica, tensión eléctrica y potencia eléctrica en los instrumentos correspondientes, también determínese el flujo luminoso total, temperatura de color correlacionada e índice de rendimiento de color, considerando las correcciones respectivas.
A.4.1 Fuentes de error
Las fuentes de error que intervienen en la medición del flujo luminoso total pueden ser:
• Espectrales (diferencias entre espectros de emisión de la lámpara patrón y bajo prueba, reproducción de la curva de respuesta fotométrica del fotodetector, auto-absorción de las lámparas, la reflectancia de la esfera de integración luminosa, entre otras);
• Espaciales (luz extraviada, distribuciones espaciales de las lámparas patrón y bajo prueba, uniformidad espacial de la reflectancia de la esfera de integración luminosa, entre otras);
• Instrumentales (tiempo de respuesta del sistema de detección, posicionamiento del fotodetector, errores sistemáticos de los instrumentos de medición, entre otras); o
• Valores de referencia (intensidad luminosa, responsividad espectral, responsividad fotométrica, flujo luminoso total, iluminancia, entre otras).
A.4.1.1 Las fuentes de error que se pueden presentar cuando se mide con gonio-fotómetro:
• La deformación de las partes mecánicas del gonio-fotómetro;
• La distancia entre la superficie sensible del detector fotométrico y la fuente luminosa;
• La posición del detector fotométrico;
• La rotación del gonio-fotómetro;
• El tamaño del paso angular;
• Los valores de responsividad espectral, o el valor de responsividad fotométrica, del detector fotométrico;
• La velocidad angular del gonio-fotómetro;
• El flujo luminoso no detectado; o
• Las sombras y la luz extraviada.
A.4.1.2 Las fuentes de error que se pueden presentar cuando se mide con esfera de integración:
• La diferencia entre las distribuciones espectrales de la lámpara de referencia y de la fuente luminosa;
• La diferencia entre las distribuciones espaciales de los flujos luminosos de la lámpara de referencia y de la fuente luminosa;
• La diferencia entre las propiedades de absorción, tamaños, formas y materiales, de la lámpara de referencia y de la fuente luminosa;
• El cambio en la reflectancia del recubrimiento de la superficie interna de la esfera de integración luminosa; o
• Los valores de responsividad espectral, o el valor de responsividad fotométrica, del detector fotométrico.
El flujo luminoso total que se obtenga como resultado de la medición debe ser corregido, utilizando para ello los valores más significativos de las correcciones o de los factores de corrección.
Apéndice B
(Normativo)
Medición del flujo luminoso total mínimo mantenido para las lámparas tubulares de LED
B.1 Objetivo
Este Apéndice tiene como objetivo establecer los requisitos técnicos mínimos que se deben cumplir para medir y comprobar el flujo luminoso total mínimo mantenido, así como la temperatura de color correlacionada para las lámparas tubulares de LED
B.2 Acondicionamiento de la prueba
B.2.1 Condiciones ambientales
Las mediciones fotométricas, radiométricas y eléctricas de las lámparas tubulares de LED son sensibles a los cambios de la temperatura ambiental, a los flujos de aire y a las reflexiones indeseables.
Las pruebas deben realizarse en un cuarto libre de corrientes de aire y manteniendo la iluminación ambiental en niveles que no produzcan reflexiones indeseables.
Las mediciones deben realizarse a una temperatura ambiental de 25°C ± 1°C, medida a la misma altura y a no más de 1 m del espécimen de prueba; y con humedad relativa de 65% como máximo.
B.3 Fuente de alimentación
B.3.1 Forma de onda
La distorsión total de armónicas de la tensión eléctrica de alimentación no debe de exceder el 3%, de las componentes armónicas considerando hasta la 49.
B.3.2 Regulación de tensión eléctrica
La tensión eléctrica de alimentación en c. a. (tensión eficaz) aplicada al espécimen bajo prueba, debe tener una regulación de ± 10%, bajo carga.
B.3.3 Tensiones eléctricas monofásicas de prueba
Todas las pruebas deben realizarse con la lámpara conectada a un circuito de suministro de frecuencia de 60 Hz y la tensión eléctrica de prueba debe ser la indicada en la Tabla B.1.
Tabla B.1 - Tensiones eléctricas monofásicas de prueba para lámparas tubulares de LED
Tensión eléctrica asignada |
Tensión eléctrica de prueba (V) |
Menor o igual que 120 V |
120±1 |
Mayor que 120 V hasta 140 V |
127±1 |
Mayor que 140 V hasta 220 V |
220±2 |
Mayor que 220 V hasta 240 V |
240±2 |
Mayor que 240 V hasta 254 V |
254±2 |
Mayor que 254 V hasta 277 V |
277±2 |
Si una lámpara tubular de LED (Tipo B) está marcada con un intervalo de tensión eléctrica, se debe considerar como tensión eléctrica nominal el valor de la tensión eléctrica menor de prueba.
Nota 1: La tensión eléctrica de prueba se refiere a las tensiones nominales normalizadas a las que se realizaran las pruebas, de acuerdo con el párrafo anterior.
Nota 2: La tensión eléctrica nominal se refiere a la marcada en el producto, como un único valor o como un intervalo.
B.4 Posición y ubicación del espécimen
El espécimen bajo prueba debe instalarse en la posición especificada por el fabricante, cuando no se especifique una posición o si existe más de una posición, la lámpara debe probarse en la posición en la que se utilice en la aplicación. La estabilización, las mediciones fotométricas, radiométricas y eléctricas, deben realizarse en dicha posición.
El estante de prueba debe diseñarse con la menor cantidad de componentes estructurales, para dejar espacio suficiente entre cada espécimen bajo prueba, que permita el flujo de aire entre ellos y alcanzar las temperaturas de prueba.
B.5 Método para el mantenimiento del flujo luminoso total y temperatura de color correlacionada
B.5.1 Registro de fallas
Se debe verificar por observación visual o supervisión automática las fallas de las lámparas en un intervalo de tiempo no mayor a 30 h.
En caso de falla se debe investigar qué la originó, para asegurar que es una falla atribuible a la lámpara y que no es causado por funcionamiento inadecuado de los instrumentos o equipos auxiliares utilizados en la prueba o por el portalámparas.
B.5.2 Medición del flujo luminoso total y la temperatura de color correlacionada
Al término del tiempo establecido en el inciso B.5.1, se debe de medir el flujo luminoso total y la temperatura de color correlacionada de los especímenes de prueba, de acuerdo con lo establecido en el Apéndice A.
Apéndice C
(Normativo)
Medición de la distorsión armónica total
C.1 Objetivo
Este Apéndice tiene como objetivo establecer los requisitos técnicos mínimos que se deben cumplir para realizar la medición de distorsión armónica total en la intensidad de corriente eléctrica.
C.2 Instrumentos y equipos.
C.2.1 Fuente de poder
La distorsión total de armónicas de la tensión de alimentación no debe de exceder el 3%, de la suma de las componentes armónicas considerando hasta la 49.
C.2.2 Analizador de potencia
El equipo de medición debe ser capaz de medir hasta la componente armónica 49, con una exactitud de < 0,5%.
C.3 Preparación y acondicionamiento de las muestras
La preparación y el acondicionamiento de la muestra se deben hacer de acuerdo a lo establecido en el inciso A.3, del Apéndice A.
C.3.1. Circuito de medición
La conexión debe de hacerse entre la fuente de alimentación y el espécimen de prueba, como se muestra en la Figura C.1.

Figura C.1 - Circuito de prueba para lámparas tubulares de LED
C.4 Procedimiento
Las mediciones de distorsión de armónicas total deben realizarse simultáneamente con las mediciones eléctricas, fotométricas y radiométricas.
Tómese, lo más rápidamente posible entre ellas, las lecturas de distorsión armónica total en intensidad de corriente eléctrica y tensión eléctrica en los instrumentos correspondientes.
Apéndice D
(Normativo)
Método de proyección de flujo luminoso para las lámparas tubulares de LED
D.1. Objetivo
Este método tiene como objeto determinar el mantenimiento de flujo luminoso, a las 6 000 h, para lámparas tubulares de LED (Tubo LED) con vida útil nominal menor o igual a 50 000 h, que cumplan individualmente, con los valores especificados en la Tabla 2.
D.2 Procedimiento
Después de haber concluido con el periodo de valoración a las 3 000 h de prueba, de acuerdo con lo establecido en el presente Proyecto de Norma Oficial Mexicana, se deben utilizar los valores obtenidos de flujo luminoso para los tiempos de prueba 0 h, 1 000 h, 2 000 h y 3 000 h de las 3 lámparas que integran la muestra, posteriormente se obtiene el valor promedio de flujo luminoso en cada uno de los tiempos mencionados y se elabora una Tabla (véase Tabla D.1 como ejemplo) de datos como la que se muestra a continuación:
Tabla D.1- Valores de flujo luminoso obtenidos durante la prueba
Tiempo de prueba [h] |
Muestra No. 1 Flujo luminoso [lm] |
Muestra No. 2 Flujo luminoso [lm] |
Muestra No. 3 Flujo luminoso [lm] |
Promedio de flujo luminoso [lm] |
0 |
||||
1 000 |
||||
2 000 |
||||
3 000 |
Los registros de los valores obtenidos de las mediciones y los cálculos realizados deben tener tres dígitos decimales.
Utilizando una hoja de cálculo y auxiliándonos de los valores obtenidos del promedio de flujo luminoso cada 1 000 h de prueba, tal como se especifica en el apartado anterior, se realiza una gráfica de dispersión con líneas rectas. Una vez obtenida dicha gráfica, se procede a obtener un ajuste de curva exponencial descrito por la siguiente ecuación:
![]()
Donde:
t tiempo de prueba, [h].
φ(t) flujo luminoso promedio, medido en el tiempo t, [lm].
β constante de proyección de la curva de ajuste.
constante de Euler con valor aproximado de 2.71828, base del logaritmo natural.
constante de decrecimiento de la proyección de la curva de ajuste.
Después de calcular las constantes de α y β del ajuste de curva o de forma manual por el método de mínimos cuadrados, se debe extrapolar para obtener los valores de flujo luminoso hasta 6 000 h y verificar que la proyección muestra un comportamiento decreciente.
Para considerar un resultado satisfactorio es necesario que el resultado de la proyección cumpla con los valores establecidos en la Tabla 2, a las 6 000 h y se demuestre un comportamiento decreciente.
Únicamente si no se demuestra un comportamiento decreciente y se cumple con los valores establecidos en la Tabla 2, a las 6 000 h, se debe consultar a la Autoridad competente, quien será la encargada de emitir la opinión correspondiente al respecto.
Apéndice E
(Normativo)
Tipos de bases para lámparas tubulares de LED
Tabla E.1 Tipos de bases para lámparas tubulares de LED (Tubos de LED)
Apéndice F
(Normativo)
Tipos de lámparas tubulares de LED
Tabla F.1 - Lámparas tubulares de LED (Tubo de LED)
Tipo de lámpara tubular de LED |
Diámetro D1 |
Longitud nominal cm (pies) A1 |
Espaciamiento E1 |
T5 |
Lámparas tubulares LED con un diámetro mayor a 15 mm y menor a 25 mm |
56 (2) |
No aplica |
86 (3) |
No aplica |
||
116 (4) |
No aplica |
||
146 (5) |
No aplica |
||
T8 |
Lámparas tubulares led con un diámetro mayor o igual a 25 mm |
61 U (2) |
No aplica |
61(2) |
No aplica |
||
91 (3) |
No aplica |
||
122 (4) |
No aplica |
||
152 (5) |
No aplica |
||
183 (6) |
No aplica |
||
244 (8) |
No aplica |
||
61 (2) |
4.12 cm (1.625 pulgadas) |
||
61 (2) |
15.24 cm (6 pulgadas) |
||
61 (2) |
15.24 cm (6 pulgadas) |
||
T8 U1 |
26 mm (1 pulgada) |
61 (2) |
15.24 cm (6 pulgadas) |
T8 U6 |
26 mm (1 pulgada) |
61 (2) |
15.24 cm (6 pulgadas) |
Figura F.1 Lámpara tubular de LED (Tubo de LED) lineal

Figura F.2 Lámpara tubular de LED (Tubo de LED) en U
Apéndice G
(Informativo)
Recomendaciones para la medición con esfera integradora
G.1. Configuración de la esfera de integración luminosa
De acuerdo con el tipo de distribución de luz de las lámparas tubulares de LED, se recomienda utilizar las siguientes geometrías en la esfera de integración luminosa:
a) La configuración 4π se utiliza para todas las mediciones fotométricas de lámparas tubulares de LED (véase la Figura G1.).
b) La configuración 2π se utiliza para todas las mediciones fotométricas de lámparas de LED direccionales (véase la Figura G2.).

Figura G.1 Configuración de la esfera integradora 4π

Figura G.2 Configuración de la esfera integradora 2π
Apéndice H
(Informativo)
Diferencia cromática Du'v'
La métrica del corrimiento del color se refiere a la habilidad de un producto para mantener la cromaticidad constante a través de un tiempo de vida específico. Se representa utilizando el parámetro Δu'v' que describe la magnitud del corrimiento de color en el diagrama de cromaticidad CIE 1976.
El parámetro Δu'v' considera tanto los cambios en la temperatura de color correlacionada (TCC) como en el Duv, el riesgo de utilizar individualmente alguna de las métricas anteriores, es que se obtiene una caracterización incompleta, en términos de la diferencia de color; adicionalmente, se debe tener presente que Δu'v' representa exclusivamente la magnitud del cambio, sin considerar su dirección.
Duv es la distancia más cercana de la curva de Planck en el diagrama (u ', v 2/3'), con signo (+) se encuentra hacia arriba y con signo (-) se encuentra por debajo de la curva de Planck.
Δu'v' es el cálculo de la distancia euclidiana entre un par de coordenadas de cromaticidad, cuantifica la diferencia total de color que puede ser el resultado de cambios en cualquiera Duv o TCC, la diferencia cromática se determina aplicando la ecuación siguiente:
![]()
Donde:
distancia entre dos puntos (coordenadas cromáticas), el cual no puede ser superior que 0.007
coordenadas cromáticas tomadas en T1
coordenadas cromáticas tomadas en T2

Figura H.1 - Diagrama de cromaticidad que ilustra la diferencia entre Du'v ', DDuv y DTCC
Apéndice I
(Informativo)
Diagramas de conexión para lámparas tubulares de LED
I.1 Diagramas de conexión para lámpara tubular de LED de reemplazo Tipo A

Figura I.1.1 Diagrama de conexión de lámparas tubulares de LED insertadas dentro de un portalámpara cortocircuitado, energizadas por ambos lados

Figura I.1.2 Diagrama de conexión de lámparas tubulares de LED insertadas dentro de portalámpara no cortocircuitado, energizadas por ambos lados
I.2 Diagramas de conexión para lámpara tubular de LED Tipo B

Figura I.2.1 Diagrama de conexión de lámparas tubulares de LED insertadas dentro de un portalámpara cortocircuitado, energizadas por ambos lados

Figura I.2.2 Diagrama de conexión de lámparas tubulares de LED insertadas dentro de un portalámpara no cortocircuitado, energizadas por ambos lados

Figura I.2.3 Diagrama de conexión de lámparas tubulares de LED insertadas dentro de un portalámpara no cortocircuitado, energizadas por un solo lado
I.3 Diagramas de conexión para Lámpara tubular de LED Tipo C

Figura I.3.1 Diagrama de conexión de lámparas tubulares de LED insertadas dentro de un portalámpara cortocircuitado, energizadas por ambos lados

Figura I.3.2 Diagrama de conexión de lámparas tubulares de LED insertadas dentro de un portalámpara no cortocircuitado, energizadas por ambos lados
I.4 Diagramas de conexión para Lámpara tubular de LED Tipo híbrida
Como la lámpara tubular de LED Tipo híbrida tiene la capacidad de operarse como alguno de los diferentes tipos de lámparas tubulares de LED Tipo A, Tipo B o Tipo C, o una combinación de éstas. El diagrama puede ser algunos de los anteriores diagramas descritos.
Apéndice J
(Informativo)
Tiempos de vigencia del certificado (inicial y final) y sus seguimientos
Tabla J.1 Guía para la emisión de certificados (inicial y final) y seguimientos para las lámparas tubulares de LED con vida útil nominal menor o igual que 50 000 h, mediante pruebas periódicas al producto

Nota: En caso de que el informe de pruebas sea presentado hasta el final de las pruebas (6 000 h), el certificado tendrá una vigencia de 24 meses.
Tabla J.2 Guía para la emisión de certificados (inicial y final) y seguimientos para las lámparas tubulares de LED con vida útil nominal mayor que 50 000 h, mediante pruebas periódicas al producto

Nota: En caso de que el informe de pruebas sea presentado hasta el final de las pruebas (6 000 h), el certificado tendrá una vigencia de 24 meses.
14. Bibliografía
ANSI NEMA C78.377-2024 |
American National Standard for Electric Lamps—Specifications for the Chromaticity of Solid State Lighting (SSL) Products. |
ANSI NEMA C82.77-2002 |
American National Standard for Harmonic Emission Limits—Related Power Quality Requirements for Lighting Equipment. |
IEC 61000-4-12 Second Edition 2006-09 |
Electromagnetic compatibility (EMC) - Part 4-12: Testing and measurement techniques - Ring wave immunity test. |
IEC 62504:2014 |
General lighting - Light emitting diode (Led) products and related equipment - Terms and definitions. |
IEC 62560:2015 |
Self-ballasted Led-lamps for general lighting services by voltage >50 V - Safety specifications. |
IEC 62612:2013+AMD1:2015+AMD2:2018 CSV |
Self-ballasted Led lamps for general lighting services with supply voltages > 50 V - Performance requirements. |
IEC 62776:2014 |
Double-capped Led lamps designed to retrofit linear fluorescent lamps - Safety specifications. |
IESNA LM-79-08 |
Approved method: Electrical and photometric measurements of solid-state lighting products. |
IESNA LM-80-08 |
Approved method: for measuring lumen maintenance of Led light sources. |
IESNA TM-16-05 |
Technical Memorandum on Light Emitting Diode (Led) Sources and Systems. |
IESNA TM-28-14 |
Projecting Long-Term luminous flux maintenance of Led lamps and luminaires. |
NMX-I-204-NYCE-2009 |
Electrónica-Componentes-Módulos Led para iluminación general-Especificaciones de seguridad. |
NMX-J-198-ANCE-2015 |
Iluminación-Balastros para lámparas fluorescentes-Métodos de prueba. |
NMX-J-610/3-2-ANCE-2010 |
Compatibilidad electromagnética (EMC) parte 3-2: limites-límites para las emisiones de corriente armónica de aparatos con corriente de entrada 16 A por fase. |
NMX-J-812-ANCE-2020 |
Iluminación – Lámparas Led con doble base diseñadas para sustituir lámparas fluorescentes lineales – especificaciones de seguridad |
NOM-017-ENER/SCFI-2012 |
Eficiencia energética y requisitos de seguridad de lámparas fluorescentes compactas autobalastradas. Límites y métodos de prueba. |
NOM-028-ENER-2017 |
Eficiencia energética de lámparas para uso general. Límites y métodos de prueba. |
UL 1598C |
Standard for Light-Emitting Diode (Led) Retrofit Luminaire Conversion Kits. |
UL 1993 |
Standard for safety. Self ballasted lamps and lamps adapters |
Ciudad de México, a 24 de septiembre de 2025.- Director General de la Comisión Nacional para el Uso Eficiente de la Energía y Presidente del Comité Consultivo Nacional de Normalización para la Preservación y Uso Racional de los Recursos Energéticos, M. en I. Israel Jáuregui Nares.- Rúbrica.